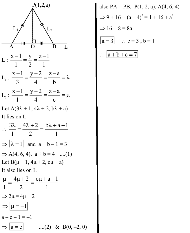
If the distances of the point $(1,2, a)$ from the line $\frac{x-1}{1}=\frac{y}{2}=\frac{z-1}{1}$ along the lines $\mathrm{L}_1: \frac{x-1}{3}=\frac{y-2}{4}=\frac{z-a}{b}$ and $\mathrm{L}_2: \frac{x-1}{1}=\frac{y-2}{4}=\frac{z-a}{c}$ are equal, then $a+b+c$ is equal to
Hello 👋 Welcome to Competishun – India’s most trusted platform for JEE & NEET preparation. Need help with JEE / NEET courses, fees, batches, test series or free study material? Chat with us now 👇