Report Issue

JEE MAIN 2025
29-01-2025 SHIFT-2
Question
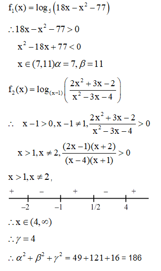
If the domain of the function $\log _{5}\left(18 x-x^{2}-77\right)$ is ( $\alpha, \beta$ ) and the domain of the function $\log _{(x-1)}\left(\frac{2 x^{2}+3 x-2}{x^{2}-3 x-4}\right)$ is $(\gamma, \delta)$, then $\alpha^{2}+\beta^{2}+\gamma^{2}$ is equal to :
Select the correct option:
A
195
B
174
C
186
D
179
✓ Correct! Well done.
✗ Incorrect. Try again or view the solution.
Solution
Solution Image
Question Tags
JEE Main
Mathematics
Medium
Start Preparing for JEE with Competishun