Competishun Header

Report Issue

JEE MAIN 2023
08-04-2023 S2
Question
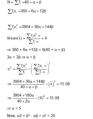
Let the eccentricity of an ellipse $\frac{x^2}{a^2}+\frac{y^2}{b^2}=1$ is reciprocal to that of the hyperbola $2 x^2-2 y^2=1$. If the ellipse intersects the hyperbola at right angles, then square of length of the latus-rectum of the ellipse is
Write Your Answer
✓ Correct! Well done.
✗ Incorrect. Try again or view the solution.
Solution
Question Tags
JEE Main
Mathematics
Medium
Start Preparing for JEE with Competishun
Filters 0
JEE Main
JEE Advance
Easy
Medium
Hard
Showing 18 questions
QJEE Main 20242024
An amine ( X ) is prepared by ammonolysis of benzyl chloride. On adding p-toluenesulphonyl chloride to it the solution...
JEE MainChemistryEasy
View Solution
QJEE Main 20242024
The correct IUPAC name of $\left[\mathrm{PtBr}_2\left(\mathrm{PMe}_3\right)_2\right]$ is:
JEE MainChemistryEasy
View Solution
QJEE Main 20242024
Evaluate the following statements related to group 14 elements for their correctness
(A) Covalent radius decreases down the group...
JEE MainChemistryEasy
View Solution
QJEE Main 20242024
The correct statements among the following, for a "chromatography" purification method is:
JEE MainChemistryEasy
View Solution
QJEE Main 20242024
The number of ions from the following that are expected to behave as oxidising agent is:
$...
JEE MainChemistryEasy
View Solution
QJEE Main 20242024
Given below are two statements:
Statement I: $\mathrm{PF}_5$ and $\mathrm{BrF}_5$ both exhibit $\mathrm{sp}^3 \mathrm{~d}$ hybridisation.
Statement II: Both...
JEE MainChemistryEasy
View Solution
QJEE Main 20242024
The incorrect statement regarding the geometrical isomers of 2-butene is:
JEE MainChemistryEasy
View Solution
QJEE Main 20242024
Arrange the following elements in the increasing order of number of unpaired electrons in it.
(A) Sc (B) Cr...
JEE MainChemistryEasy
View Solution
QJEE Main 20242024
How can an electrochemical cell be converted into an electrolytic cell ?
JEE MainChemistryEasy
View Solution
QJEE Main 20242024
During the detection of acidic radical present in a salt, a student gets a pale yellow precipitate soluble with difficulty...
JEE MainChemistryEasy
View Solution
QJEE Main 20242024
The incorrect statements regarding enzymes are:
(A) Enzymes are biocatalysts.
(B) Enzymes are non-specific and can catalyse different...
JEE MainChemistryEasy
View Solution
QJEE Main 20242024
Molality (m) of 3 M aqueous solution of NaCl is: (Given : Density of solution $=1.25 \mathrm{~g} \mathrm{~mL}^{-1}$, Molar mass...
JEE MainChemistryEasy
View Solution
QJEE Main 20242024
Two open organ pipes of length 60 cm and 90 cm resonate at $6^{\text {th }}$ and $5^{\text {th }}$...
JEE MainPhysicsEasy
View Solution
QJEE Main 20242024
Two coherent monochromatic light beams of intensities I and 4I are superimposed. The difference between maximum and minimum possible intensities...
JEE MainPhysicsEasy
View Solution
QJEE Main 20242024
A wire of cross sectional area A, modulus of elasticity $2 \times 10^{11} \mathrm{Nm}^{-2}$ and length 2 m is stretched...
JEE MainPhysicsEasy
View Solution
QJEE Main 20242024
In the given figure an ammeter A consists of a $240 \Omega$ coil connected in parallel to a $10 \Omega$...
JEE MainPhysicsEasy
View Solution
QJEE Main 20242024
A coil having 100 turns, area of $5 \times 10^{-3} \mathrm{~m}^2$, carrying current of 1 mA is placed in uniform...
JEE MainPhysicsEasy
View Solution
QJEE Main 20242024
Three balls of masses $2 \mathrm{~kg}, 4 \mathrm{~kg}$ and 6 kg respectively are arranged at centre of the edges of...
JEE MainPhysicsEasy
View Solution
Check this project | Best Developer Portfolio