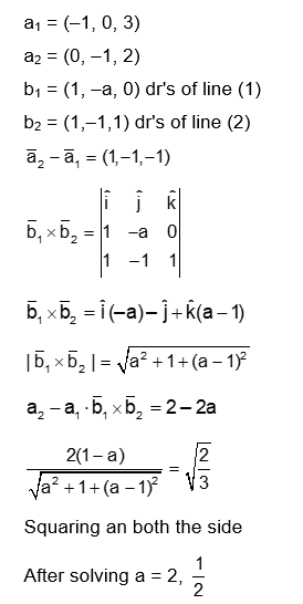
If the shortest distance between the line $\vec{r}=(-\hat{i}+3 \hat{k})+\lambda(\hat{i}-a \hat{j})$ and $\vec{r}=(-\hat{j}+2 \hat{k})+\mu(\hat{i}-\hat{j}+\hat{k})$ is $\sqrt{\frac{2}{3}}$ then the integral value of is equal to
Hello 👋 Welcome to Competishun – India’s most trusted platform for JEE & NEET preparation. Need help with JEE / NEET courses, fees, batches, test series or free study material? Chat with us now 👇