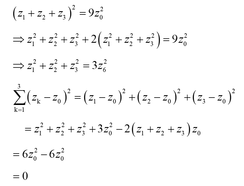
If $z_1, z_2, z_3 \in \mathbb{C}$ are the vertices of an equilateral triangle, whose centroid is $z_0$, then $\sum_{k=1}^3\left(z_k-z_0\right)^2$ is equal to
Hello 👋 Welcome to Competishun – India’s most trusted platform for JEE & NEET preparation. Need help with JEE / NEET courses, fees, batches, test series or free study material? Chat with us now 👇