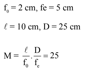
In a microscope of tube length 10 cm two convex lenses are arranged with focal length of 2 cm and 5 cm . Total magnification obtained with this system for normal adjustment is $(5)^{\mathrm{k}}$. The value of $k$ is__________.
Hello 👋 Welcome to Competishun – India’s most trusted platform for JEE & NEET preparation. Need help with JEE / NEET courses, fees, batches, test series or free study material? Chat with us now 👇