Skip to content
Competishun Header
Home
Courses
Test Series
Books
Free Resources
Result
Contact Us
Free Resources
Courses
Test Series
JEE Solutions
NCERT PDF
Books
Gallery
Result
Blogs
Watch JEE Free Lectures
↗
Download Our App
↗
Follow Us
Login / Register
Back
Report
Report Issue
×
Wrong Answer
Typo Error
Image Issue
Not Clear
Other
JEE Advanced 2020
Paper-1 2020
Question
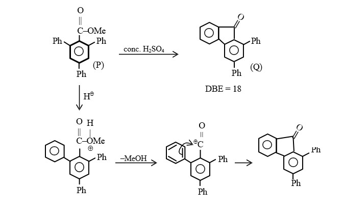
In the following reaction, compound Q is obtained from compound P via an ionic intermediate
What is the degree of unsaturation of Q ?
Write Your Answer
Submit Answer
✓ Correct! Well done.
✗ Incorrect. Try again or view the solution.
View Solution
Solution
Question Tags
JEE Advance
Chemistry
Easy
Start Preparing for JEE with Competishun
YouTube
Books
App
Tests
Filters
0
Subject
▾
Exam
▾
JEE Main
JEE Advance
Difficulty
▾
Easy
Medium
Hard
Year
▾
✕ Clear All
Showing
18
questions
Q
JEE MAIN_2026
Solution A is prepared by dissolving 1 g of a protein (molar mass $=50000 \mathrm{~g} \mathrm{~mol}^{-1}$ ) in 0.5 L...
JEE Main
Physics
Easy
View Solution
→
Q
JEE MAIN_2026
Gas ' $A$ ' undergoes change from state ' $X$ ' to state ' $Y$ '. In this process, the...
JEE Main
Physics
Easy
View Solution
→
Q
JEE MAIN_2026
Let $e$ be the base of natural logarithm and let $f:\{1,2,3,4\} \rightarrow\left\{1, e, e^2, e^3\right\}$ and $...
JEE Main
Mathematics
Medium
View Solution
→
Q
JEE MAIN_2026
\text { The area of the region }\left\{(x, y): 0 \leq y \leq 6-x, y^2 \geq 4 x-3, x \geq...
JEE Main
Mathematics
Easy
View Solution
→
Q
JEE MAIN_2026
The value of the integral $\int_{-\frac{\pi}{4}}^{\frac{\pi}{4}}\left(\frac{32 \cos ^4 x}{1+e^{\sin x}}\right) d x$ is:
JEE Main
Mathematics
Medium
View Solution
→
Q
JEE MAIN 2026
2026
The area of the region $\left\{(x, y): 0 \leq y \leq 6-x, y^2 \geq 4 x-3, x \geq 0\right\}$ is:
JEE Main
Mathematics
Easy
View Solution
→
Q
JEE MAIN 2026
2026
Let $f:[1, \infty) \rightarrow \mathbf{R}$ be a differentiable function defined as $f(x)=\int_1^x f(\mathrm{t}) \mathrm{dt}+(1-x)\left(\log _0 x-1\right)+\mathrm{e}$. Then the value of...
JEE Main
Mathematics
Medium
View Solution
→
Q
JEE MAIN 2026
2026
The value of $\lim _{x \rightarrow 0}\left(\frac{x^2 \sin ^2 x}{x^2-\sin ^2 x}\right)$ is:
JEE Main
Mathematics
Easy
View Solution
→
Q
JEE MAIN_2026
Let a line L be perpendicular to both the lines $\mathrm{L}_1: \frac{x+1}{3}=\frac{y+3}{5}=\frac{z+5}{7}$ and $\mathrm{L}_2: \frac{x-2}{1}=\frac{y-4}{4}=\frac{z-6}{7}$. If $\theta$ is the acute...
JEE Main
Mathematics
Easy
View Solution
→
Q
JEE MAIN 2026
2026
Let $\left(2^{1-a}+2^{1+a}\right), f(a),\left(3^a+3^{-a}\right)$ be in A.P. and $\alpha$ be the minimum value of $f(a)$. Then the value of the integral...
JEE Main
Mathematics
Medium
View Solution
→
Q
JEE MAIN_2026
$\mathrm{SF}_4$ is isostructural with: A. $\mathrm{BrF}_4{ }^{!}$ B. $\mathrm{CH}_4$ C. $\mathrm{IF}_4^{\oplus}$ D. $\mathrm{XeF}_4$ E. $\mathrm{XeO}_2 \mathrm{~F}_2$ Choose the correct answer...
JEE Main
Physics
Medium
View Solution
→
Q
JEE MAIN_2026
Let the image of the point $\mathrm{P}(1,6, a)$ in the line $\mathrm{L}: \frac{x}{1}=\frac{y-1}{2}=\frac{z-a+1}{b}, b>0$, be $\left(\frac{a}{3}, 0, a+c\right)$. If $...
JEE Main
Mathematics
Medium
View Solution
→
Q
JEE MAIN 2026
2026
Let $f(x)=\lim _{y \rightarrow 0} \frac{(1-\cos (x y)) \tan (x y)}{y^3}$. Then the number of solutions of the equation $...
JEE Main
Mathematics
Medium
View Solution
→
Q
JEE MAIN 2026
2026
Let $S=\{\theta \in(-2 \pi, 2 \pi): \cos \theta+1=\sqrt{3} \sin \theta\}$. Then $\sum_{\theta \in S} \theta$ is equal to:
JEE Main
Mathematics
Easy
View Solution
→
Q
JEE MAIN 2026
2026
Let $O$ be the origin, $\overrightarrow{O P}=\vec{a}$ and $\overrightarrow{O Q}=\vec{b}$. If $R$ is the point on $\overrightarrow{O P}$ such that...
JEE Main
Mathematics
Easy
View Solution
→
Q
JEE MAIN_2026
The first and second ionization constants of a weak dibasic acid $\mathrm{H}_2 \mathrm{~A}$ are $8.1 \times 10^{-8}$ and $...
JEE Main
Physics
Hard
View Solution
→
Q
JEE MAIN 2026
2026
\text { Let } 0<\alpha<1, \beta=\frac{1}{3 \alpha} \text { and } \tan ^{-1}(1-\alpha)+\tan ^{-1}(1-\beta)=\frac{\pi}{4} \text {. Then } 6(\alpha+\beta) \text { is equal to: }
JEE Main
Mathematics
Easy
View Solution
→
Q
JEE MAIN 2026
2026
If the distance of the point $(a, 2,5)$ from the image of the point $(1,2,7)$ in the line $\frac{x}{1}=\frac{y-1}{1}=\frac{z-2}{2}$ is...
JEE Main
Mathematics
Easy
View Solution
→
Load More Questions
Check this project
|
Best Developer Portfolio
Scan the code
Powered by
Joinchat
Hello 👋 Welcome to Competishun – India’s most trusted platform for JEE & NEET preparation.
Need help with JEE / NEET courses, fees, batches, test series or free study material? Chat with us now 👇
Open Chat