Skip to content
Competishun Header
Home
Courses
Test Series
Books
Free Resources
Result
Contact Us
Free Resources
Courses
Test Series
JEE Solutions
NCERT PDF
Books
Gallery
Result
Blogs
Watch JEE Free Lectures
↗
Download Our App
↗
Follow Us
Login / Register
Back
Report
Report Issue
×
Wrong Answer
Typo Error
Image Issue
Not Clear
Other
JEE MAIN 2023
13-4-2023 S1
Question
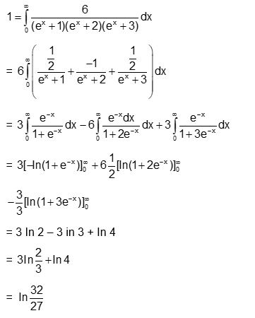
$\int_0^{\infty} \frac{6}{e^{3 x}+6 e^{2 x}+1}$
Select the correct option:
A
$\log _e\left(\frac{512}{81}\right)$
B
$\log _e\left(\frac{32}{27}\right)$
C
$\log _e\left(\frac{256}{81}\right)$
D
$\log _e\left(\frac{64}{27}\right)$
✓ Correct! Well done.
✗ Incorrect. Try again or view the solution.
View Solution
Solution
Question Tags
JEE Main
Mathematics
Medium
Start Preparing for JEE with Competishun
YouTube
Books
App
Tests
Filters
0
Subject
▾
Exam
▾
JEE Main
JEE Advance
Difficulty
▾
Easy
Medium
Hard
Year
▾
✕ Clear All
Showing
18
questions
Q
JEE-Main 2024
2024
Consider the function $\mathrm{f}:(0,2) \rightarrow \mathrm{R}$ defined by $f(x)=\frac{x}{2}+\frac{2}{x}$ and the function $g(x)$ defined by $g(x)= \left\{\begin{array}{cc}\min \{f(t)\}, & 0
JEE Main
Mathematics
Easy
View Solution
→
Q
JEE Main 2024
2024
An electric bulb rated 50 W – 200 V is connected across a 100 V supply. The power dissipation of...
JEE Main
Physics
Easy
View Solution
→
Q
JEE Main 2024
2024
The equivalent resistance between A and B is:
JEE Main
Physics
Medium
View Solution
→
Q
JEE-Main 2024
2024
Considering only the principal values of inverse trigonometric functions, the number of positive real values of $x$ satisfying $...
JEE Main
Mathematics
Easy
View Solution
→
Q
Jee Main 2024
2024
Number of ways of arranging 8 identical books into 4 identical shelves where any number of shelves may remain empty...
JEE Main
Mathematics
Hard
View Solution
→
Q
JEE Main 2024
2024
Given below are two statements :
Statement I : The contact angle between a solid and a liquid is...
JEE Main
Physics
Easy
View Solution
→
Q
Jee Main 2024
2024
Let $A=\left[\begin{array}{ccc}2 & 1 & 2 \\ 6 & 2 & 11 \\ 3 & 3 & 2\end{array}\right]$ and $...
JEE Main
Mathematics
Hard
View Solution
→
Q
JEE Main 2024
2024
Correct formula for height of a satellite from earths surface is :
JEE Main
Physics
Easy
View Solution
→
Q
JEE Main 2024
2024
Let $\vec{a}=\hat{\imath}+\alpha \hat{\jmath}+\beta \hat{k}, \alpha, \beta \in R$. Let a vector $\vec{b}$ be such that the angle between $\vec{a}$ and...
JEE Main
Mathematics
Easy
View Solution
→
Q
JEE Main 2024
2024
A bulb and a capacitor are connected in series across an ac supply. A dielectric is then placed between the...
JEE Main
Physics
Easy
View Solution
→
Q
JEE Main 2024
2024
One main scale division of a vernier caliper is equal to $m$ units. If $n^{\text {th }}$ division of main...
JEE Main
Physics
Medium
View Solution
→
Q
JEE MAIN 2024
2024
Let $A(\alpha, 0)$ and $B(0, \beta)$ be the points on the line $5 x+7 y=50$. Let the point $P$ divide...
JEE Main
Mathematics
Easy
View Solution
→
Q
JEE MAIN 2024
2024
The number of solutions of the equation $...
JEE Main
Mathematics
Easy
View Solution
→
Q
JEE MAIN 2024
2024
For $\alpha, \beta \in\left(0, \frac{\pi}{2}\right)$, let $3 \sin (\alpha+\beta)=2 \sin (\alpha-\beta)$ and a real number k be such that $...
JEE Main
Mathematics
Easy
View Solution
→
Q
JEE Main 2024
2024
A heavy iron bar, of weight $W$ is having its one end on the ground and the other on the...
JEE Main
Physics
Medium
View Solution
→
Q
JEE Main 2024
2024
A galvanmeter has a coil of resistance $200 \Omega$ with a full scale deflection at $20 \mu \mathrm{~A}$. The value...
JEE Main
Physics
Medium
View Solution
→
Q
JEE Main 2024
2024
A particle of mass $m$ moves on a straight line with its velocity increasing with distance according to the equation...
JEE Main
Physics
Hard
View Solution
→
Q
JEE Main 2024
2024
Given below are two statements: Statement (I): When currents vary with time, Newton's third law is valid only if momentum...
JEE Main
Physics
Medium
View Solution
→
Load More Questions
Check this project
|
Best Developer Portfolio
Scan the code
Powered by
Joinchat
Hello 👋 Welcome to Competishun – India’s most trusted platform for JEE & NEET preparation.
Need help with JEE / NEET courses, fees, batches, test series or free study material? Chat with us now 👇
Open Chat