Skip to content
Competishun Header
Home
Courses
Test Series
Books
Free Resources
Result
Contact Us
Free Resources
Courses
Test Series
JEE Solutions
NCERT PDF
Books
Gallery
Result
Blogs
Watch JEE Free Lectures
↗
Download Our App
↗
Follow Us
Login / Register
Back
Report
Report Issue
×
Wrong Answer
Typo Error
Image Issue
Not Clear
Other
JEE MAIN 2019
12-01-2019 S2
Question
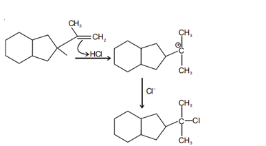
The major product of the following reaction is
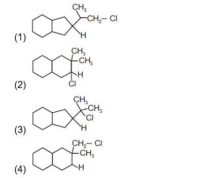
Options
A
B
C
D
✓ Correct! Well done.
✗ Incorrect. Try again or view the solution.
View Solution
Solution
Question Tags
JEE Main
Chemistry
Medium
Start Preparing for JEE with Competishun
YouTube
Books
App
Tests
Filters
0
Subject
▾
Exam
▾
JEE Main
JEE Advance
Difficulty
▾
Easy
Medium
Hard
Year
▾
✕ Clear All
Showing
18
questions
Q
JEE Advanced 2020
2020
Let b be a nonzero real number. Suppose $f: \mathbb{R} \rightarrow \mathbb{R}$ is a differentiable function such that $(0)=1$. If...
JEE Advance
Mathematics
Easy
View Solution
→
Q
JEE Advanced 2020
2020
The value of the limit
$...
JEE Advance
Mathematics
Easy
View Solution
→
Q
JEE Advanced 2020
2020
Let the functions : (−1,1)→ℝ and 𝑔 : (−1,1)→(−1,1) be defined by ƒ(𝑥) = |2𝑥−1|+|2𝑥+1| and 𝑔(𝑥) = 𝑥−[𝑥], where...
JEE Advance
Mathematics
Easy
View Solution
→
Q
JEE Advanced 2020
2020
The trace of a square matrix is defined to be the sum of its diagonal entries. If A is a...
JEE Advance
Mathematics
Easy
View Solution
→
Q
JEE Advanced 2020
2020
Let O be the centre of the circle $\mathrm{x}^2+\mathrm{y}^2=\mathrm{r}^2$, where $\mathrm{r}>\frac{\sqrt{5}}{2}$. Suppose $P Q$ is a chord of this circle...
JEE Advance
Mathematics
Easy
View Solution
→
Q
JEE Advanced 2020
2020
The probability that a missile hits a target successfully is 0.75. In order to destroy the target completely, at least...
JEE Advance
Mathematics
Easy
View Solution
→
Q
JEE Advanced 2020
2020
For a complex number z, let $\operatorname{Re}(z)$ denote the real part of $z$. Let $S$ be the set of all...
JEE Advance
Mathematics
Easy
View Solution
→
Q
JEE Advanced 2020
2020
Let e denote the base of the natural logarithm. The value of the real number a for which the right...
JEE Advance
Mathematics
Easy
View Solution
→
Q
JEE Advanced 2020
2020
For a polynomial $\mathrm{g}(\mathrm{x})$ with real coefficient, let $\mathrm{m}_{\mathrm{g}}$ denote the number of distinct real roots of $\mathrm{g}(\mathrm{x})$. Suppose S...
JEE Advance
Mathematics
Easy
View Solution
→
Q
JEE_Advanced 2019
2019
Let $\mathrm{x} \in \mathbb{R}$ and let $...
JEE Advance
Mathematics
Easy
View Solution
→
Q
JEE Advance 2020
2020
A container with 1 kg of water in it is kept in sunlight, which causes the water to get warmer...
JEE Advance
Physics
Easy
View Solution
→
Q
JEE Advanced 2020
2020
In a triangle PQR , let $\overrightarrow{\mathrm{a}}=\overrightarrow{\mathrm{QR}}, \overrightarrow{\mathrm{b}}=\overrightarrow{\mathrm{RP}}$ and $\overrightarrow{\mathrm{c}}=\overrightarrow{\mathrm{PQ}}$. If $|\overrightarrow{\mathrm{a}}|=3,|\overrightarrow{\mathrm{~b}}|=4$ and $\frac{\overrightarrow{\mathrm{a}} \cdot(\overrightarrow{\mathrm{c}}-\overrightarrow{\mathrm{b}})}{\overrightarrow{\mathrm{c}} \cdot(\overrightarrow{\mathrm{a}}-\overrightarrow{\mathrm{b}})}=\frac{|\overrightarrow{\mathrm{a}}|}{|\overrightarrow{\mathrm{a}}|+|\overrightarrow{\mathrm{b}}|}$, then the value of...
JEE Advance
Mathematics
Easy
View Solution
→
Q
JEE Advanced 2020
2020
Let f : [0, 2] -> R be the function defined by
$...
JEE Advance
Mathematics
Easy
View Solution
→
Q
JEE Advance 2020
2020
The inductors of two $L R$ circuits are placed next to each other, as shown in the figure. The values...
JEE Advance
Physics
Easy
View Solution
→
Q
JEE Advance 2020
2020
A cubical solid aluminium (bulk modulus $=-V \frac{\mathrm{dP}}{\mathrm{dV}}=70 \mathrm{GPa}$ ) block has an edge length of 1 m on the...
JEE Advance
Physics
Easy
View Solution
→
Q
JEE Advanced 2020
2020
Let $a_1, a_2, a_3, \ldots$. be a sequence of positive integers in arithmetic progression with common difference 2 . Also,...
JEE Advance
Mathematics
Easy
View Solution
→
Q
JEE Advance 2020
2020
Two capacitors with capacitance values $\mathrm{C}_1=2000 \pm 10 \mathrm{pF}$ and $C_2=3000 \pm 15 \mathrm{pF}$ are connected in series. The voltage...
JEE Advance
Physics
Easy
View Solution
→
Q
JEE Advanced 2020
2020
Let $m$ be the minimum possible value of $\log _3\left(3^{y_1}+3^{y_2}+3^{y_3}\right)$, where $y_1, y_2, y_3$ are real numbers for which $y_1+y_2+y_3=9$....
JEE Advance
Mathematics
Easy
View Solution
→
Load More Questions
Scan the code
Powered by
Joinchat
Hello 👋 Welcome to Competishun – India’s most trusted platform for JEE & NEET preparation.
Need help with JEE / NEET courses, fees, batches, test series or free study material? Chat with us now 👇
Open Chat