Competishun Header

Report Issue

JEE MAIN 2026
23-01-2026 S2
Question
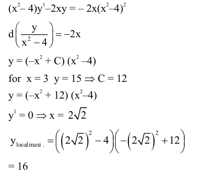
If the solution curve $y=f(x)$ of the differential equation $$ \left(x^2-4\right) y^{\prime}-2 x y+2 x\left(4-x^2\right)^2=0, x>2, $$ passes through the point $(3,15)$, then the local maximum value of $f$ is $\_\_\_\_$ .
Write Your Answer
✓ Correct! Well done.
✗ Incorrect. Try again or view the solution.
Solution
Solution Image
Question Tags
JEE Main
Mathematics
Easy
Start Preparing for JEE with Competishun
Video Solution
BY competishun
Video Solution
Watch Solution
Filters 0
JEE Main
JEE Advance
Easy
Medium
Hard
Showing 18 questions
QJEE Advanced 20202020
Let the function : (0,𝜋)→ℝ be defined by
$ (\theta)=(\sin \theta+\cos \theta)^2+(\sin \theta-\cos \theta)^4 $
Suppose the function...
JEE AdvanceMathematicsEasy
View Solution
QJEE Advanced 20202020
Let 𝑓:ℝ→ℝ be a differentiable function such that its derivative 𝑓′ is continuous and ƒ(𝜋) = −6.
If $...
JEE AdvanceMathematicsEasy
View Solution
QJEE Advanced 20202020
Let the function $f:[0,1] \rightarrow \mathbb{R}$ be defined by $\mathrm{f}(\mathrm{x})=\frac{4^{\mathrm{x}}}{4^{\mathrm{x}}+2}$ Then the value of $\mathrm{f}\left(\frac{1}{40}\right)+\mathrm{f}\left(\frac{2}{40}\right)+\mathrm{f}\left(\frac{3}{40}\right)+\ldots \ldots \ldots+\mathrm{f}\left(\frac{39}{40}\right)-\mathrm{f}\left(\frac{1}{2}\right)$ is
JEE AdvanceMathematicsEasy
View Solution
QJEE Advanced 20202020
Two fair dice, each with faces numbered 1,2,3,4,5 and 6, are rolled together and the sum of the numbers on...
JEE AdvanceMathematicsEasy
View Solution
QJEE Advanced 20202020
In a hotel, four rooms are available. Six persons are to be accommodated in these four rooms in such a...
JEE AdvanceMathematicsEasy
View Solution
QJEE Advanced 20202020
An engineer is required to visit a factory for exactly four days during the first 15 days of every month...
JEE AdvanceMathematicsEasy
View Solution
QJEE Advanced 20202020
For non-negative integers s and r, let
$...
JEE AdvanceMathematicsEasy
View Solution
QJEE Advanced 20202020
Let a and b be positive real numbers. Suppose $\overrightarrow{\mathrm{PQ}}=a \hat{\mathrm{i}}+b \hat{\mathrm{j}}$ and $\overrightarrow{\mathrm{PS}}=a \hat{\mathrm{i}}-b \hat{\mathrm{j}}$ are adjacent sides of...
JEE AdvanceMathematicsEasy
View Solution
QJEE Advanced 20202020
Let $\alpha, \beta, \gamma, \delta$ be real numbers such that $\alpha^2+\beta^2+\gamma^2 \neq 0$ and $\alpha+\gamma=1$. Suppose the point $(3,2,-1)$ is...
JEE AdvanceMathematicsEasy
View Solution
QJEE Advanced 20202020
Let 𝒇:ℝ→ℝ and 𝒈:ℝ→ℝ be functions satisfying 𝑓(𝑥+𝑦)=𝑓(𝑥)+𝑓(𝑦)+𝑓(𝑥)𝑓(𝑦) and 𝑓(𝑥)=𝑥𝑔(𝑥) for all 𝑥,𝑦∈ℝ. If $\lim _{x \rightarrow 0} g(x)=1$, then...
JEE AdvanceMathematicsEasy
View Solution
QJEE Advanced 20202020
Let b be a nonzero real number. Suppose $f: \mathbb{R} \rightarrow \mathbb{R}$ is a differentiable function such that $(0)=1$. If...
JEE AdvanceMathematicsEasy
View Solution
QJEE Advanced 20202020
The value of the limit
$...
JEE AdvanceMathematicsEasy
View Solution
QJEE Advanced 20202020
Let the functions : (−1,1)→ℝ and 𝑔 : (−1,1)→(−1,1) be defined by ƒ(𝑥) = |2𝑥−1|+|2𝑥+1| and 𝑔(𝑥) = 𝑥−[𝑥], where...
JEE AdvanceMathematicsEasy
View Solution
QJEE Advanced 20202020
The trace of a square matrix is defined to be the sum of its diagonal entries. If A is a...
JEE AdvanceMathematicsEasy
View Solution
QJEE Advanced 20202020
Let O be the centre of the circle $\mathrm{x}^2+\mathrm{y}^2=\mathrm{r}^2$, where $\mathrm{r}>\frac{\sqrt{5}}{2}$. Suppose $P Q$ is a chord of this circle...
JEE AdvanceMathematicsEasy
View Solution
QJEE Advanced 20202020
The probability that a missile hits a target successfully is 0.75. In order to destroy the target completely, at least...
JEE AdvanceMathematicsEasy
View Solution
QJEE Advanced 20202020
For a complex number z, let $\operatorname{Re}(z)$ denote the real part of $z$. Let $S$ be the set of all...
JEE AdvanceMathematicsEasy
View Solution
QJEE Advanced 20202020
Let e denote the base of the natural logarithm. The value of the real number a for which the right...
JEE AdvanceMathematicsEasy
View Solution