Competishun Header

Report Issue

JEE Main 2024
30-01-2024
Question
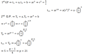
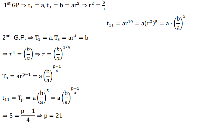
Let $a$ and $b$ be be two distinct positive real numbers. Let $11^{\text {th }}$ term of a GP, whose first term is $a$ and third term is $b$, is equal to $p^{\text {th }}$ term of another GP, whose first term is $a$ and fifth term is $b$. Then $p$ is equal to
Select the correct option:
A
20
B
25
C
21
D
24
✓ Correct! Well done.
✗ Incorrect. Try again or view the solution.
Solution
Question Tags
JEE Main
Mathematics
Easy
Start Preparing for JEE with Competishun
Filters 0
JEE Main
JEE Advance
Easy
Medium
Hard
Showing 18 questions
QJee Main 20242024
Let the mean and the variance of 6 observation $a, b, 68,44,48,60$ be 55 and 194 , respectively if $a>b$,...
JEE MainMathematicsMedium
View Solution
QJee Main 20242024
The sum of the solutions $x \in \mathbb{R}$ of the equation $...
JEE MainMathematicsHard
View Solution
QJee Main 20242024
\text { The area of the region enclosed by the parabola } y=4 x-x^2 \text { and } 3 y=(x-4)^2...
JEE MainMathematicsEasy
View Solution
QJEE Main 20242024
The current flowing through the $1 \Omega$ resistor is $\frac{n}{10}$ A. The value of $n$ is
JEE MainPhysicsHard
View Solution
QJEE MAIN 20242024
Consider a $\triangle \mathrm{ABC}$ where $\mathrm{A}(1,2,3), \mathrm{B}(-2,8,0)$ and $\mathrm{C}(3,6,7)$. If the angle bisector of $\angle \mathrm{BAC}$ meets the line $...
JEE MainMathematicsEasy
View Solution
QJee Main 20242024
Let $\mathrm{f}: \rightarrow \mathrm{R} \rightarrow(0, \infty)$ be strictly increasing function such that $\lim _{\substack{x \rightarrow \infty \\ f(x)}} \frac{f(7 x)}{2}=1$....
JEE MainMathematicsEasy
View Solution
QJee Main 20242024
Let $r$ and $\theta$ respectively be the modulus and amplitude of the complex number $z=2-i\left(2 \tan \frac{5 \pi}{8}\right)$, then $...
JEE MainMathematicsMedium
View Solution
QJEE MAIN 20242024
Let $P$ and $Q$ be the points on the line $\frac{x+3}{8}=\frac{y-4}{2}=\frac{z+1}{2}$ which are at a distance of 6 units from...
JEE MainMathematicsEasy
View Solution
QJEE Main 20242024
The position, velocity and acceleration of a particle executing simple harmonic motion are found to have magnitudes of $...
JEE MainPhysicsMedium
View Solution
QJEE Main 20242024
A charge q is placed at the center of one of the surface of a cube. The flux linked with...
JEE MainPhysicsEasy
View Solution
Q Jee Main 20242024
Let $2^{\text {nd }}, 8^{\text {th }}$ and $44^{\text {th }}$, terms of a non-constant A.P. be respectively the $...
JEE MainMathematicsEasy
View Solution
Q JEE Main 20242024
When a coil is connected across a 20 V dc supply, it draws a current of 5 A . When...
JEE MainPhysicsHard
View Solution
QJEE-Main 20242024
Let $A$ and $B$ be two finite sets with $m$ and $n$ elements respectively. The total number of subsets of...
JEE MainMathematicsEasy
View Solution
QJEE-Main 20242024
If $\alpha, \beta$ are the roots of the equation, $x^2-x-1=0$ and $S_n=2023 \alpha^n+2024 \beta^n$, then
JEE MainMathematicsEasy
View Solution
QJEE Main 20242024
A sample of gas at temperature T is adiabatically expanded to double its volume. Adiabatic constant for the gas is...
JEE MainPhysicsEasy
View Solution
QJEE Main 20242024
Two persons pull a wire towards themselves. Each person exerts a force of 200 N on the wire. Young's modulus...
JEE MainPhysicsMedium
View Solution
QJEE MAIN 20242024
Let $m$ and $n$ be the coefficients of seventh and thirteenth terms respectively in the expansion of $\left(\frac{1}{3} X^{\frac{1}{3}}+\frac{1}{2 X^{\frac{2}{3}}}\right)^{18}$....
JEE MainMathematicsEasy
View Solution
QJee Main 20242024
The temperature $\mathrm{T}(\mathrm{t})$ of a body at time $\mathrm{t}=0$ is $160^{\circ} \mathrm{F}$ and it decreases continuously as per the differential...
JEE MainMathematicsMedium
View Solution
Check this project | Best Developer Portfolio