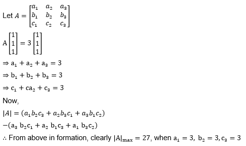
Let $A$ be a $3 \times 3$ matrix of non-negative real elements such that $A\left[\begin{array}{l}1 \\ 1 \\ 1\end{array}\right]=3\left[\begin{array}{l}1 \\ 1 \\ 1\end{array}\right]$. Then the maximum value of $\operatorname{det}(A)$ is
Hello 👋 Welcome to Competishun – India’s most trusted platform for JEE & NEET preparation. Need help with JEE / NEET courses, fees, batches, test series or free study material? Chat with us now 👇