Competishun Header

Report Issue

Jee Main 2024
29-01-2024 S2
Question
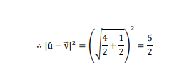
Let a unit vector $\hat{\mathrm{u}}=\mathrm{x} \hat{\mathrm{i}}+\mathrm{y} \hat{\mathrm{j}}+\mathrm{z} \hat{\mathrm{k}}$ make angles $\frac{\pi}{2}, \frac{\pi}{3}$ and $\frac{2 \pi}{3}$ with the vectors $\frac{1}{\sqrt{2}} \hat{\mathrm{i}}+\frac{1}{\sqrt{2}} \hat{\mathrm{k}}, \frac{1}{\sqrt{2}} \hat{\mathrm{j}}+\frac{1}{\sqrt{2}} \hat{\mathrm{k}}$ and $\frac{1}{\sqrt{2}} \hat{\mathrm{i}}+ \frac{1}{\sqrt{2}} \hat{\jmath}$ respectively. $\overrightarrow{\mathrm{v}}=\frac{1}{\sqrt{2}} \hat{\mathrm{i}}+\frac{1}{\sqrt{2}} \hat{\mathrm{j}}+\frac{1}{\sqrt{2}} \hat{\mathrm{k}}$, then $|\hat{\mathrm{u}}-\overrightarrow{\mathrm{v}}|^2$ is equal to
Select the correct option:
A
$\frac{11}{2}$
B
$\frac{5}{2}$
C
9
D
7
✓ Correct! Well done.
✗ Incorrect. Try again or view the solution.
Solution
Question Tags
JEE Main
Mathematics
Medium
Start Preparing for JEE with Competishun
Filters 0
JEE Main
JEE Advance
Easy
Medium
Hard
Showing 18 questions
QJEE Main 20242024
Choose the Incorrect Statement about Dalton's Atomic Theory
JEE MainChemistryEasy
View Solution
QJee Main 20242024
Let the slope of the line $45 x+5 y+3=0$ be $27 r_1+\frac{9 r_2}{2}$ for some $r_1, r_2 \in R$. Then...
JEE MainMathematicsEasy
View Solution
QJee Main 20242024
Let the set $C=\left\{(x, y) \mid x^2-2^y=2023, x, y \in \mathbb{N}\right\}$. Then $\sum_{(x, y) \in C}(x+y)$ is equal to
JEE MainMathematicsMedium
View Solution
QJee Main 20242024
Remainder when $64^{32^{32}}$ is divided by 9 is equal to
JEE MainMathematicsMedium
View Solution
QJee Main 20242024
Let $f(x)=\sqrt{\lim _{r \rightarrow x}\left\{\frac{2 r^2\left[(f(r))^2-f(x) f(r)\right]}{r^2-x^2}-r^3 e^{\frac{f(r)}{r}}\right\}}$ be differentiable in $(-\infty, 0) \cup(0, \infty)$ and $f(1)=1$. Then the value...
JEE MainMathematicsHard
View Solution
Q JEE MAIN 20242024
The number of symmetric relations defined on the set $\{1,2,3,4\}$ which are not reflexive is
JEE MainMathematicsEasy
View Solution
QJee Main 20242024
Let $O$ be the origin, and $M$ and $N$ be the points on the lines $\frac{x-5}{4}=\frac{y-4}{1}=\frac{z-5}{3}$ and $\frac{x+8}{12}=\frac{y+2}{5}=\frac{z+11}{9}$ respectively such...
JEE MainMathematicsMedium
View Solution
QJEE Main 20242024
Fuel cell, using hydrogen and oxygen as fuels,
A. has been used in spaceship
B. has as efficiency...
JEE MainChemistryEasy
View Solution
QJEE Main 20242024
If an iron (III) complex with the formula $\left[\mathrm{Fe}\left(\mathrm{NH}_3\right)_{\mathrm{x}}(\mathrm{CN})_{\mathrm{y}}\right]^{-}$has no electron in its $\mathrm{e}_{\mathrm{g}}$ orbital, then the value of $\mathrm{x}+\mathrm{y}$...
JEE MainChemistryEasy
View Solution
QJee Main 20242024
Let the area of the region $\left\{(x, y): 0 \leq x \leq 3,0 \leq y \leq \min \left\{\mathrm{x}^2+2,2 \mathrm{x}+2\right\}\right\}$ be...
JEE MainMathematicsMedium
View Solution
QJEE Main 20242024
The correct order of the first ionization enthalpy is
JEE MainChemistryEasy
View Solution
QJEE MAIN 20242024
The variance $\sigma^2$ of the data
JEE MainMathematicsEasy
View Solution
QJee Main 20242024
If $\int_{\frac{\pi}{6}}^{\frac{\pi}{3}} \sqrt{1-\sin 2 x} d x=\alpha+\beta \sqrt{2}+\gamma \sqrt{3}$, where $\alpha, \beta$ and $\gamma$ are rational numbers, then $...
JEE MainMathematicsMedium
View Solution
QJEE MAIN 20242024
The area of the region enclosed by the parabola $(y-2)^2=x-1$, the line $x-2 y+4=0$ and the positive coordinate axes is
JEE MainMathematicsEasy
View Solution
QJEE MAIN 20242024
The number of real solutions of the equation $x\left(x^2+3|x|+5|x-1|+6|x-2|\right)=0$ is
JEE MainMathematicsEasy
View Solution
QJee Main 20242024
Let $\mathrm{P}(\alpha, \beta)$ be a point on the parabola $\mathrm{y}^2=4 \mathrm{x}$. If P also lies on the chord of the...
JEE MainMathematicsMedium
View Solution
QJee Main 20242024
Let for any three distinct consecutive terms $a, b, c$ of an A.P, the lines $a x+b y+c=0$ be concurrent...
JEE MainMathematicsMedium
View Solution
QJEE MAIN 20242024
In an examination of Mathematics paper, there are 20 questions of equal marks and the question paper is divided into...
JEE MainMathematicsEasy
View Solution
Check this project | Best Developer Portfolio