Competishun Header

Report Issue

JEE MAIN 2026
22-01-2026 S2
Question
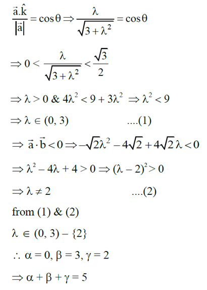
Let a vector $\overrightarrow{\mathrm{a}}=\sqrt{2} \hat{i}-\hat{j}+\lambda \hat{k}, \lambda>0$, make an obtuse angle with the vector $\overrightarrow{\mathrm{b}}=-\lambda^2 \hat{i}+4 \sqrt{2} \hat{j}+4 \sqrt{2} \hat{k}$ and an angle $\theta, \frac{\pi}{6}<\theta<\frac{\pi}{2}$, with the positive $z$-axis. If the set of all possible values of $\lambda$ is $(\alpha, \beta)-\{\gamma\}$, then $\alpha+\beta+\gamma$ is equal to $\_\_\_\_$。
Write Your Answer
✓ Correct! Well done.
✗ Incorrect. Try again or view the solution.
Solution
Solution Image
Question Tags
JEE Main
Mathematics
Easy
Start Preparing for JEE with Competishun
Video Solution
BY competishun
Video Solution
Watch Solution
Filters 0
JEE Main
JEE Advance
Easy
Medium
Hard
Showing 18 questions
QJEE MAIN_2026
A mass of 1 kg is kept on a inclined plane with $30^{\circ}$ inclination with respect to horizontal plane and...
JEE MainPhysicsMedium
View Solution
QJEE MAIN_2026
In an experiment to determine the resistance of a given wire using Ohm's law, the voltmeter and ammeter readings are...
JEE MainPhysicsHard
View Solution
QJEE MAIN_2026
Match List - I with List - II where h (Planck's constant), G (gravitational constant) and c (speed of light...
JEE MainPhysicsHard
View Solution
QJEE MAIN_2026
In the given circuit below inductance values of $L_1, L_2$ and $L_3$ are same. The magnetic energy stored in the...
JEE MainPhysicsMedium
View Solution
QJEE MAIN_2026
The charged particle moving in a uniform magnetic field of $(3 \hat{i}+2 \hat{j}) \mathrm{T}$ has an acceleration $...
JEE MainPhysicsEasy
View Solution
QJEE MAIN_2026
A transverse wave on a string is described by $y=3 \sin (36 t+0.018 x+\pi / 4)$. where $x, y$ are...
JEE MainPhysicsMedium
View Solution
QJEE MAIN_2026
From 18 m height above the ground a ball is dropped from rest. The height above the ground at which...
JEE MainPhysicsEasy
View Solution
QJEE MAIN_2026
A cube has side length 5 cm and modulus of rigidity $10^5 \mathrm{~N} / \mathrm{m}^2$. The displacement produced by a...
JEE MainPhysicsEasy
View Solution
QJEE MAIN_2026
For the given logic circuit, which of the following inputs combination will make both LED-1 and LED-2 to glow?
JEE MainPhysicsHard
View Solution
QJEE MAIN_2026
An a.c. source of angular frequency $\omega$ is connected across a resistor R and a capacitor C in series. The...
JEE MainPhysicsMedium
View Solution
QJEE MAIN_2026
Two wires as shown in the figure below, made of steel and have breaking stress of $...
JEE MainPhysicsMedium
View Solution
QJEE MAIN_2026
A compound microscope is designed with two symmetric biconvex lenses. The objective lens is cut vertically, creating two identical plano-convex...
JEE MainPhysicsMedium
View Solution
QJEE MAIN_2026
Light source having wavelength 331 nm is used to generate photo-electrons whose stopping potential is 0.2 V . The work...
JEE MainPhysicsEasy
View Solution
QJEE MAIN_2026
A ray of light passing through an equilateral prism is having velocity $2.12 \times 10^8 \mathrm{~m} / \mathrm{s}$ in the...
JEE MainPhysicsEasy
View Solution
QJEE MAIN_2026
In Young's double slit experiment, the fringe width of the interference pattern produced on the screen is $2.4 \mu \mathrm{~m}$....
JEE MainPhysicsEasy
View Solution
QJEE MAIN_2026
Refer to the figure given below, current between terminals A and B is $\_\_\_\_$ A.
JEE MainPhysicsMedium
View Solution
QJEE MAIN_2026
A displacement current of 4.0 A can be set up in the space between two parallel plates of $...
JEE MainPhysicsEasy
View Solution
QJEE MAIN_2026
In the hydrogen atom, the electron makes a transition from the higher orbit (i) to a lower orbit (f). The...
JEE MainPhysicsMedium
View Solution
Check this project | Best Developer Portfolio