Competishun Header

Report Issue

JEE Advanced 2020
Paper-1 2020
Multiple correct answers - Select all that apply
Question
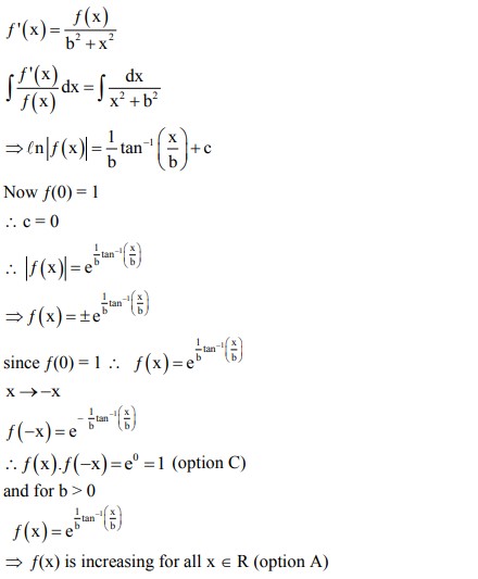
Let b be a nonzero real number. Suppose $f: \mathbb{R} \rightarrow \mathbb{R}$ is a differentiable function such that $(0)=1$. If the derivative $f^{\prime}$ of $f$ satisfies the equation $\mathrm{f}^{\prime}(\mathrm{x})=\frac{\mathrm{f}(\mathrm{x})}{\mathrm{b}^2+\mathrm{x}^2}$ for all $x \in \mathbb{R}$, then which of the following statements is/are TRUE?
Select ALL correct options:
A
If 𝑏 > 0, then 𝑓 is an increasing function
B
If 𝑏 < 0, then 𝑓 is a decreasing function
C
(𝑥) (−𝑥)=1 for all 𝑥∈ℝ
D
(𝑥)−𝑓(−𝑥)=0 for all 𝑥∈ℝ
✓ Correct! Well done.
✗ Incorrect. Try again or view the solution.
⚠ Partially correct. Some answers are missing.
Solution
Solution Image
Question Tags
JEE Advance
Mathematics
Easy
Start Preparing for JEE with Competishun
Video Solution
BY competishun
Video Solution
Watch Solution
Filters 0
JEE Main
JEE Advance
Easy
Medium
Hard
Showing 18 questions
QJEE MAIN_2026
A compound microscope is designed with two symmetric biconvex lenses. The objective lens is cut vertically, creating two identical plano-convex...
JEE MainPhysicsMedium
View Solution
QJEE MAIN_2026
Light source having wavelength 331 nm is used to generate photo-electrons whose stopping potential is 0.2 V . The work...
JEE MainPhysicsEasy
View Solution
QJEE MAIN_2026
A ray of light passing through an equilateral prism is having velocity $2.12 \times 10^8 \mathrm{~m} / \mathrm{s}$ in the...
JEE MainPhysicsEasy
View Solution
QJEE MAIN_2026
In Young's double slit experiment, the fringe width of the interference pattern produced on the screen is $2.4 \mu \mathrm{~m}$....
JEE MainPhysicsEasy
View Solution
QJEE MAIN_2026
Refer to the figure given below, current between terminals A and B is $\_\_\_\_$ A.
JEE MainPhysicsMedium
View Solution
QJEE MAIN_2026
A displacement current of 4.0 A can be set up in the space between two parallel plates of $...
JEE MainPhysicsEasy
View Solution
QJEE MAIN_2026
In the hydrogen atom, the electron makes a transition from the higher orbit (i) to a lower orbit (f). The...
JEE MainPhysicsMedium
View Solution
QJEE Mains 20262026
5.33 g of $\mathrm{CrCl}_3 \cdot 6 \mathrm{H}_2 \mathrm{O}$, which is a $1: 3$ electrolyte, is dissolved in water and is...
JEE MainChemistryMedium
View Solution
QJEE MAIN_2026
An electron of mass m is moving in an electric field $\vec{E}=-2 E_{\mathrm{o}} \hat{i}\left(\mathrm{E}_0=\right.$ constant $\left.>0\right)$, with an initial velocity...
JEE MainPhysicsMedium
View Solution
QJEE MAIN_2026
Refer to the figure given below. The values of $\mathrm{I}_1, \mathrm{I}_2$ and $\mathrm{I}_3$ are $\_\_\_\_$ .
JEE MainPhysicsHard
View Solution
QJEE MAIN_2026
Consider the following statements: A. Zeroth law of thermodynamics gives concept of temperature B. First law of thermodynamics gives concept...
JEE MainPhysicsEasy
View Solution
QJEE MAIN_2026
Given below are two statements: one is labelled as Assertion A and the other is labelled as Reason R
JEE MainPhysicsEasy
View Solution
QJEE MAIN_2026
The Young's modulus of steel wire of radius r and length L is Y. If the radius r and length...
JEE MainPhysicsEasy
View Solution
QJEE MAIN_2026
A wedge $Y$ with mass of 10 kg and all frictionless surfaces and the inclined surface making $37^{\circ}$ with horizontal....
JEE MainPhysicsHard
View Solution
QJEE MAIN_2026
Three masses $m_1=4 \mathrm{~kg}, m_2=4 \mathrm{~kg}$ and $m_3=6 \mathrm{~kg}$ are suspended from a fixed smooth frictionless pulley as shown in...
JEE MainPhysicsMedium
View Solution
QJEE MAIN_2026
When one moves from a point 16 km below the earth's surface to a point 16 km above the earth's...
JEE MainPhysicsMedium
View Solution
QJEE MAIN_2026
$\mathrm{L}, \mathrm{C}$ and R represents physical quantities inductance, capacitance and resistance respectively. The dimensional formula $\mathrm{ML}^2 \mathrm{~T}^{-4} \mathrm{~A}^{-2}$ corresponds to...
JEE MainPhysicsHard
View Solution
QJEE MAIN_2026
In a Vernier calipers, when both jaws touch each other, zero of the Vernier scale is shifted to the right...
JEE MainPhysicsEasy
View Solution
Check this project | Best Developer Portfolio