Competishun Header

Report Issue

JEE MAIN 2021
26-08-2021 S2
Question
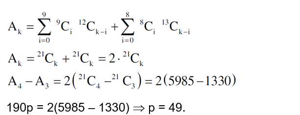
Let $\binom{n}{k}$ denotes ${ }^n C_k$ and $\left[\begin{array}{l}n \\ k\end{array}\right]=\left\{\begin{array}{cc}\binom{n}{k}, & \text { if } 0 \leq k \leq n \\ 0, & \text { otherwise }\end{array}\right.$ If $A_k=\sum_{i=0}^9\binom{9}{i}\left[\begin{array}{c}12 \\ 12-k+i\end{array}\right]+\sum_{i=0}^8\binom{8}{i}\left[\begin{array}{c}13 \\ { }^{13} C_{13}-k+i\end{array}\right]$ and $A_4-A_3=190 p$, then $p$ is equal to :
Write Your Answer
✓ Correct! Well done.
✗ Incorrect. Try again or view the solution.
Solution
Solution Image
Question Tags
JEE Main
Mathematics
Hard
Start Preparing for JEE with Competishun
Filters 0
JEE Main
JEE Advance
Easy
Medium
Hard
Showing 18 questions
QJEE-Main 20242024
Number of compounds from the following with zero dipole moment is $\_\_\_\_$ . $...
JEE MainChemistryEasy
View Solution
QJEE-Main 20242024
Considering acetic acid dissociates in water, its dissociation constant is $6.25 \times 10^{-5}$. If 5 mL of acetic acid is...
JEE MainChemistryEasy
View Solution
QJEE-Main 20242024
The product © in the following sequence of reactions has $\_\_\_\_$ $\pi$ bonds.
JEE MainChemistryEasy
View Solution
QJEE-Main 20242024
Consider the following single step reaction in gas phase at constant temperature. $$ 2 \mathrm{~A}_{(\mathrm{p})}+\mathrm{B}_{(\mathrm{g})} \rightarrow \mathrm{C}_{(\mathrm{p})} $$ The initial...
JEE MainChemistryEasy
View Solution
QJEE-Main 20242024
In the Claisen-Schmidt reaction to prepare 351 g of dibenzalacetone using 87 g of acetone, the amount of benzaldehyde required...
JEE MainChemistryEasy
View Solution
QJEE-Main 20242024
Using the given figure, the ratio of $R_f$ values of sample A and sample C is $\mathrm{x} \times 10^{-2}$. Value...
JEE MainChemistryEasy
View Solution
QJEE-Main 20242024
In an atom, total number of electrons having quantum numbers $n=4,\left|m_1\right|=1$ and $m_s=-\frac{1}{2}$ is
JEE MainChemistryEasy
View Solution
QJEE-Main 20242024
X of enthanamine was subjected to reaction with $\mathrm{NaNO}_2 / \mathrm{HCl}$ followed by hydrolysis to liberate $\mathrm{N}_2$ and HCl ....
JEE MainChemistryEasy
View Solution
QJEE-Main 20242024
The fusion of chromite ore with sodium carbonate in the presence of air leads to the formation of products A...
JEE MainChemistryEasy
View Solution
QJEE-Main 20242024
Combustion of 1 mole of benzene is expressed at $$ \mathrm{C}_6 \mathrm{H}_6(1)+\frac{15}{2} \mathrm{O}_2(\mathrm{~g}) \rightarrow \mathrm{CO}_2(\mathrm{~g})+3 \mathrm{H}_2 \mathrm{O}(1) . $$ The...
JEE MainChemistryEasy
View Solution
QJEE-Main 20242024
Coagulation of egg, on heating is because of :
JEE MainChemistryEasy
View Solution
QJEE-Main 20242024
The correct statements from the following are :
JEE MainChemistryEasy
View Solution
QJEE-Main 20242024
Identify A and B in the given chemical reaction sequence : -
JEE MainChemistryEasy
View Solution
QJEE-Main 20242024
The number of ions from the following that have the ability to liberate hydrogen from a dilute acid is $\_\_\_\_$...
JEE MainChemistryEasy
View Solution
QJEE-Main 20242024
The number of complexes from the following with no electrons in the $\mathrm{t}_2$ orbital is $\_\_\_\_$ . $$ \mathrm{TiCl}_4,\left[\mathrm{MnO}_4\right]^{-},\left[\mathrm{FeO}_4\right]^{2-},\left[\mathrm{FeCl}_4\right]^{-},\left[\mathrm{CoCl}_4\right]^{2-} $$
JEE MainChemistryEasy
View Solution
QJEE Main 20242024
A series LCR circuit is subjected to an AC signal of $200 \mathrm{~V}, 50 \mathrm{~Hz}$. If the voltage across the...
JEE MainPhysicsEasy
View Solution
QJEE Main 20242024
A man carrying a monkey on his shoulder does cycling smoothly on a circular track of radius 9 m and...
JEE MainPhysicsEasy
View Solution
QJEE Main 20242024
The electrostatic force $\left(\overrightarrow{\mathrm{F}}_1\right)$ and magnetic force ( $\overrightarrow{\mathrm{F}}_2$ ) acting on a charge q moving with velocity v can...
JEE MainPhysicsEasy
View Solution
Check this project | Best Developer Portfolio