Competishun Header

Report Issue

JEE Advanced 2020
Paper-1 2020
Question
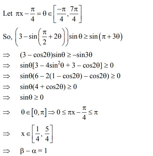
Let f : [0, 2] -> R be the function defined by
$ f(x)=(3-\sin (2 \pi x)) \sin \left(\pi x-\frac{\pi}{4}\right)-\sin \left(3 \pi x+\frac{\pi}{4}\right) $
If $\alpha, \beta \in[0,2]$ are such that $\{x \in[0,2]: f(x) \geq 0\}=[\alpha, \beta]$, then the value of $\beta-\alpha$ is $\_\_\_\_$ ->
Write Your Answer
✓ Correct! Well done.
✗ Incorrect. Try again or view the solution.
Solution
Solution Image
Question Tags
JEE Advance
Mathematics
Easy
Start Preparing for JEE with Competishun
Video Solution
BY competishun
Video Solution
Watch Solution
Filters 0
JEE Main
JEE Advance
Easy
Medium
Hard
Showing 18 questions
QJEE Advanced 20202020
Let b be a nonzero real number. Suppose $f: \mathbb{R} \rightarrow \mathbb{R}$ is a differentiable function such that $(0)=1$. If...
JEE AdvanceMathematicsEasy
View Solution
QJEE Advanced 20202020
The value of the limit
$...
JEE AdvanceMathematicsEasy
View Solution
QJEE Advanced 20202020
Let the functions : (−1,1)→ℝ and 𝑔 : (−1,1)→(−1,1) be defined by ƒ(𝑥) = |2𝑥−1|+|2𝑥+1| and 𝑔(𝑥) = 𝑥−[𝑥], where...
JEE AdvanceMathematicsEasy
View Solution
QJEE Advanced 20202020
The trace of a square matrix is defined to be the sum of its diagonal entries. If A is a...
JEE AdvanceMathematicsEasy
View Solution
QJEE Advanced 20202020
Let O be the centre of the circle $\mathrm{x}^2+\mathrm{y}^2=\mathrm{r}^2$, where $\mathrm{r}>\frac{\sqrt{5}}{2}$. Suppose $P Q$ is a chord of this circle...
JEE AdvanceMathematicsEasy
View Solution
QJEE Advanced 20202020
The probability that a missile hits a target successfully is 0.75. In order to destroy the target completely, at least...
JEE AdvanceMathematicsEasy
View Solution
QJEE Advanced 20202020
For a complex number z, let $\operatorname{Re}(z)$ denote the real part of $z$. Let $S$ be the set of all...
JEE AdvanceMathematicsEasy
View Solution
QJEE Advanced 20202020
Let e denote the base of the natural logarithm. The value of the real number a for which the right...
JEE AdvanceMathematicsEasy
View Solution
QJEE Advanced 20202020
For a polynomial $\mathrm{g}(\mathrm{x})$ with real coefficient, let $\mathrm{m}_{\mathrm{g}}$ denote the number of distinct real roots of $\mathrm{g}(\mathrm{x})$. Suppose S...
JEE AdvanceMathematicsEasy
View Solution
QJEE_Advanced 20192019
Let $\mathrm{x} \in \mathbb{R}$ and let $...
JEE AdvanceMathematicsEasy
View Solution
QJEE Advance 20202020
A container with 1 kg of water in it is kept in sunlight, which causes the water to get warmer...
JEE AdvancePhysicsEasy
View Solution
QJEE Advanced 20202020
In a triangle PQR , let $\overrightarrow{\mathrm{a}}=\overrightarrow{\mathrm{QR}}, \overrightarrow{\mathrm{b}}=\overrightarrow{\mathrm{RP}}$ and $\overrightarrow{\mathrm{c}}=\overrightarrow{\mathrm{PQ}}$. If $|\overrightarrow{\mathrm{a}}|=3,|\overrightarrow{\mathrm{~b}}|=4$ and $\frac{\overrightarrow{\mathrm{a}} \cdot(\overrightarrow{\mathrm{c}}-\overrightarrow{\mathrm{b}})}{\overrightarrow{\mathrm{c}} \cdot(\overrightarrow{\mathrm{a}}-\overrightarrow{\mathrm{b}})}=\frac{|\overrightarrow{\mathrm{a}}|}{|\overrightarrow{\mathrm{a}}|+|\overrightarrow{\mathrm{b}}|}$, then the value of...
JEE AdvanceMathematicsEasy
View Solution
QJEE Advanced 20202020
Let f : [0, 2] -> R be the function defined by
$...
JEE AdvanceMathematicsEasy
View Solution
QJEE Advance 20202020
The inductors of two $L R$ circuits are placed next to each other, as shown in the figure. The values...
JEE AdvancePhysicsEasy
View Solution
QJEE Advance 20202020
A cubical solid aluminium (bulk modulus $=-V \frac{\mathrm{dP}}{\mathrm{dV}}=70 \mathrm{GPa}$ ) block has an edge length of 1 m on the...
JEE AdvancePhysicsEasy
View Solution
QJEE Advanced 20202020
Let $a_1, a_2, a_3, \ldots$. be a sequence of positive integers in arithmetic progression with common difference 2 . Also,...
JEE AdvanceMathematicsEasy
View Solution
QJEE Advance 20202020
Two capacitors with capacitance values $\mathrm{C}_1=2000 \pm 10 \mathrm{pF}$ and $C_2=3000 \pm 15 \mathrm{pF}$ are connected in series. The voltage...
JEE AdvancePhysicsEasy
View Solution
QJEE Advanced 20202020
Let $m$ be the minimum possible value of $\log _3\left(3^{y_1}+3^{y_2}+3^{y_3}\right)$, where $y_1, y_2, y_3$ are real numbers for which $y_1+y_2+y_3=9$....
JEE AdvanceMathematicsEasy
View Solution