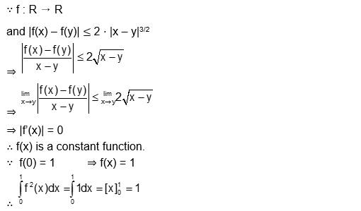
Let f be a differentiable function from $R$ to $R$ such that $|f(x)-f(y)| \leq 2|x-y|^{\frac{3}{2}}$, for all $x, y \in R$. If $f(0)=1$ then $\int_0^1 f^2(x) d x$ equal to-
Hello 👋 Welcome to Competishun – India’s most trusted platform for JEE & NEET preparation. Need help with JEE / NEET courses, fees, batches, test series or free study material? Chat with us now 👇