Competishun Header

Report Issue

JEE MAIN 2026
28-1-2026 S1
Question
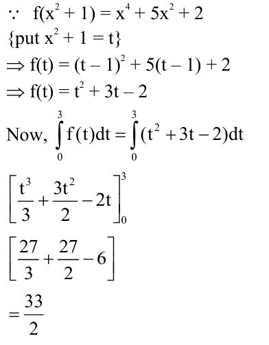
Let $f$ be a polynomial function such that $f\left(\mathrm{x}^2+1\right)=\mathrm{x}^4+5 \mathrm{x}^2+2$, for all $\mathrm{x} \in \mathbb{R}$. Then $\int_0^3 f(\mathrm{x}) \mathrm{dx}$ is equal to
Select the correct option:
A
$\frac{41}{3}$
B
$\frac{33}{2}$
C
$\frac{27}{2}$
D
$\frac{5}{3}$
✓ Correct! Well done.
✗ Incorrect. Try again or view the solution.
Solution
Solution Image
Question Tags
JEE Main
Mathematics
Easy
Start Preparing for JEE with Competishun
Video Solution
BY competishun
Video Solution
Watch Solution
Filters 0
JEE Main
JEE Advance
Easy
Medium
Hard
Showing 18 questions
QJEE Main 20242024
Consider the following test for a group-IV cation.
$\mathrm{M}^{2+}+\mathrm{H}_2 \mathrm{~S} \rightarrow \mathrm{~A}$ (Black precipitate) + byproduct $\mathrm{A}+$ aqua regia...
JEE MainChemistryEasy
View Solution
QJEE Main 20242024
The vapour pressure of pure benzene and methyl benzene at $27^{\circ} \mathrm{C}$ is given as 80 Torr and 24 Torr...
JEE MainChemistryEasy
View Solution
QJEE Main 20242024
A transition metal 'M' among Sc, Ti, V , Cr, Mn and Fe has the highest second ionisation enthalpy. The...
JEE MainPhysicsEasy
View Solution
QJEE Main 20242024
Number of oxygen atoms present in chemical formula of fuming sulphuric acid is
JEE MainPhysicsEasy
View Solution
QJEE Main 20242024
The electronic configuration of Einsteinium is : (Given atomic number of Einsteinium = 99)
JEE MainPhysicsEasy
View Solution
QJEE Main 20242024
Which out of the following is a correct equation to show change in molar conductivity with respect to concentration for...
JEE MainChemistryEasy
View Solution
QJEE Main 20242024
Which of the following compounds will give silver mirror with ammoniacal silver nitrate?
(A) Formic acid
(B) Formaldehyde...
JEE MainChemistryEasy
View Solution
QJEE Main 20242024
The incorrect statement regarding ethyne is
JEE MainChemistryEasy
View Solution
QJEE Main 20242024
Given below are two statements :
Statement I : The higher oxidation states are more stable down the group...
JEE MainChemistryEasy
View Solution
QJEE Main 20242024
For a sparingly soluble salt $\mathrm{AB}_2$, the equilibrium concentrations of $\mathrm{A}^{2+}$ ions and $\mathrm{B}^{-}$ions are $1.2 \times 10^{-4} \mathrm{M}$ and...
JEE MainChemistryEasy
View Solution
QJEE Main 20242024
Which of the following compound can give positive iodoform test when treated with aqueous KOH solution followed by potassium hypoiodite
JEE MainChemistryEasy
View Solution
QJEE Main 20242024
The incorrect statement about Glucose is :
JEE MainChemistryEasy
View Solution
QJEE Main 20242024
The coordination environment of $\mathrm{Ca}^{2+}$ ion in its complex with $\mathrm{EDTA}^4$ is :
JEE MainChemistryEasy
View Solution
QJEE Main 20242024
The correct increasing order for bond angles among $\mathrm{BF}_3, \mathrm{PF}_3$ and $\mathrm{C} \ell \mathrm{F}_3$ is :
JEE MainChemistryEasy
View Solution
QJEE Main 20242024
Total number of stereo isomers possible for the given structure:
JEE MainChemistryEasy
View Solution
QJEE Main 20242024
The correct stability order of the following resonance structures of $\mathrm{CH}_3-\mathrm{CH}=\mathrm{CH}-\mathrm{CHO}$ is
JEE MainChemistryEasy
View Solution
QJEE Main 20242024
The candela is the luminous intensity, in a given direction, of a source that emits monochromatic radiation of frequency '...
JEE MainChemistryEasy
View Solution
QJEE Main 20242024
At room temperature $\left(27^{\circ} \mathrm{C}\right)$, the resistance of a heating element is $50 \Omega$. The temperature coefficient of the material...
JEE MainPhysicsEasy
View Solution
Check this project | Best Developer Portfolio