Competishun Header

Report Issue

JEE Advance 2010
Paper-2
Question
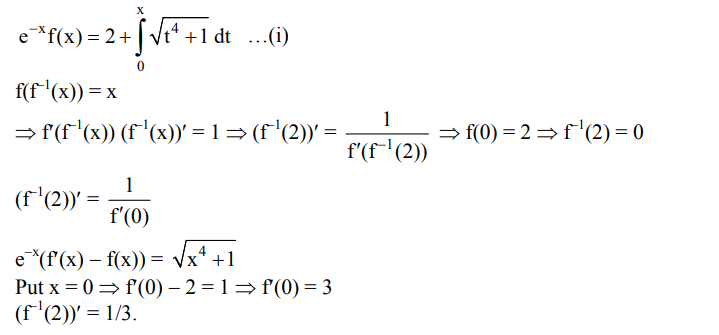
Let f be a real-valued function defined on the interval $(-1,1)$ such that $e^{-x} f(x)=2+\int_0^x \sqrt{t^4+1} d t$, for all x $\in(-1,1)$ and let $f^{-1}$ be the inverse function of $f$. Then $\left(f^1\right)^{\prime}(2)$ is equal to
Select the correct option:
A
1
B
1/3
C
1/2
D
1/e
✓ Correct! Well done.
✗ Incorrect. Try again or view the solution.
Solution
Solution Image
Question Tags
JEE Advance
Mathematics
Easy
Start Preparing for JEE with Competishun
Filters 0
JEE Main
JEE Advance
Easy
Medium
Hard
Showing 18 questions
QJEE Advanced 20162016
Football teams T1 and T2 have to play two games against each other. It is assumed that the outcomes of...
JEE AdvanceMathematicsEasy
View Solution
QJEE Advanced 20162016
Football teams $T_1$ and $T_2$ have to play two games against each other. It is assumed that the outcomes of...
JEE AdvanceMathematicsEasy
View Solution
QJEE Advance 20202020
A solution of 0.1 M weak base (B) is titrated with 0.1 M of a strong acid (HA). The variation...
JEE AdvanceChemistryEasy
View Solution
QJEE Advanced 20202020
Choose the correct statement(s) among the following :
JEE AdvanceChemistryEasy
View Solution
QJEE Advance 20082008
Match the compounds in Column I with their characteristic test(s)/reactions(s) given in Column II. Indicate your answer by darkening the...
JEE AdvanceChemistryEasy
View Solution
QJEE Advance 20082008
Match the entries in Column I with the correctly related quantum number(s) in Column II. Indicate your answer by darkening...
JEE AdvanceChemistryEasy
View Solution
QJEE Advance 20082008
Match the conversions in Column I with the type(s) of reaction(s) given in Column II. Indicate your answer by darkening...
JEE AdvanceChemistryEasy
View Solution
QJEE Advance 20082008
In hexagonal systems of crystals, a frequently encountered arrangement of atoms is described as a hexagonal prism. Here, the top...
JEE AdvanceChemistryEasy
View Solution
QJEE Advance 20082008
In hexagonal systems of crystals, a frequently encountered arrangement of atoms is described as a hexagonal prism. Here, the top...
JEE AdvanceChemistryEasy
View Solution
QJEE Advance 20082008
In hexagonal systems of crystals, a frequently encountered arrangement of atoms is described as a hexagonal prism. Here, the top...
JEE AdvanceChemistryEasy
View Solution
QJEE Advance 20082008
STATEMENT-1 : Aniline on reaction with $\mathrm{NaNO}_2 / \mathrm{HCl}$ at $0^{\circ} \mathrm{C}$ followed by coupling with $\beta$-naphthol gives a dark...
JEE AdvanceChemistryEasy
View Solution
QJEE Advance 20082008
STATEMENT-1 For an observer looking out through the window of a fast moving train, the nearby objects appear to move...
JEE AdvancePhysicsEasy
View Solution
QJEE Advance 20082008
STATEMENT-1: There is a natural asymmetry between converting work to heat and converting heat to work and
STATEMENT-2: No...
JEE AdvanceChemistryEasy
View Solution
QJEE Advance 20082008
STATEMENT-1: The geometrical isomers of the complex $\left[\mathrm{M}\left(\mathrm{NH}_3\right)_4 \mathrm{Cl}_2\right]$ are optically inactive. and
STATEMENT-2: Both geometrical isomers of the...
JEE AdvanceChemistryEasy
View Solution
QJEE Advance 20082008
STATEMENT-1 The sensitivity of a moving-coil galvanometer is increased by placing a suitable magnetic material as a core inside the...
JEE AdvancePhysicsEasy
View Solution
QJEE Advance 20082008
STATEMENT-1: $\left[\mathrm{Fe}\left(\mathrm{H}_2 \mathrm{O}\right)_5 \mathrm{NO}\right] \mathrm{SO}_4$ is paramagnetic.
and
STATEMENT-2: The Fe in $\left[\mathrm{Fe}\left(\mathrm{H}_2 \mathrm{O}\right)_5 \mathrm{NO}\right] \mathrm{SO}_4$ has three...
JEE AdvanceChemistryEasy
View Solution
QJEE Advance 20082008
STATEMENT-1 For practical purposes, the earth is used as a reference at zero potential in electrical circuits. and STATEMENT-2 The...
JEE AdvancePhysicsEasy
View Solution
QJEE Advance 20082008
Cellulose upon acetylation with excess acetic anhydride/ $\mathrm{H}_2 \mathrm{SO}_4$ (catalytic) gives cellulose triacetate whose structure is
JEE AdvanceChemistryEasy
View Solution