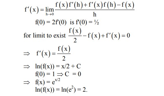
Let $f: \mathrm{R} \rightarrow \mathrm{R}$ be a differentiable function with $f(0)=1$ and satisfying the equation $\mathrm{f}(x+y)=\mathrm{f}(x) \mathrm{f}^{\prime}(y)+f^{\prime}(x) f(y)$ for all $x, y \in \mathrm{R}$.
Then, the value of $\log _{\mathrm{e}}(f(4))$ is $\_\_\_\_$。
Hello 👋 Welcome to Competishun – India’s most trusted platform for JEE & NEET preparation. Need help with JEE / NEET courses, fees, batches, test series or free study material? Chat with us now 👇