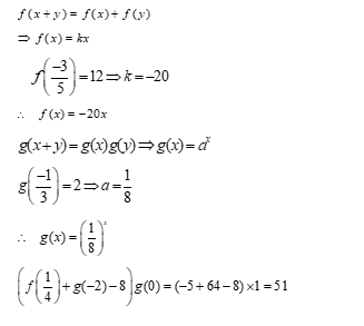
Let $f: R \rightarrow R$ be a function such that $f(x+y)=f(x)+f(y)$ for all $x, y \in R$, and $g: R \rightarrow(0, \infty)$ be a function such that $g(x+y)=g(x) g(y)$ for all $x, y \in R$. If $f\left(\frac{-3}{5}\right)=12$ and $g\left(\frac{-1}{3}\right)=2$, then the value of $\left(f\left(\frac{1}{4}\right)+g(-2)-8\right) g(0)$ is $\_\_\_\_$
Hello 👋 Welcome to Competishun – India’s most trusted platform for JEE & NEET preparation. Need help with JEE / NEET courses, fees, batches, test series or free study material? Chat with us now 👇