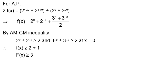
Let $f: R \rightarrow R$ be such that for all $x \in R\left(2^{1+x}+2^{1-x}\right), f(x)$ and $\left(3^x+3^{-x}\right)$ are in A.P., then the minimum value of $f(x)$ is
Hello 👋 Welcome to Competishun – India’s most trusted platform for JEE & NEET preparation. Need help with JEE / NEET courses, fees, batches, test series or free study material? Chat with us now 👇