Competishun Header

Report Issue

JEE MAIN 2025
29-01-2025 SHIFT-2
Question
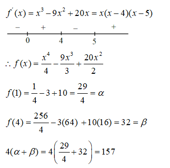
Let $f(x)=\int_{0}^{x} \mathrm{t}\left(\mathrm{t}^{2}-9 \mathrm{t}+20\right) \mathrm{dt}, 1 \leq x \leq 5$. If the range of $f$ is $[\alpha, \beta]$, then $4(\alpha+\beta)$ equals:
Select the correct option:
A
253
B
125
C
154
D
157
✓ Correct! Well done.
✗ Incorrect. Try again or view the solution.
Solution
Solution Image
Question Tags
JEE Main
Mathematics
Easy
Start Preparing for JEE with Competishun
Filters 0
JEE Main
JEE Advance
Easy
Medium
Hard
Showing 18 questions
Q JEE MAIN 20262026
Given below are two statements
Statement I: $\mathrm{H}_2 \mathrm{O}$ molecules move from the chamber 1 to chamber 2 .
Statement II:...
JEE MainChemistryMedium
View Solution
QJEE MAIN_2026
A certain gas is isothermally compressed to $\left(\frac{1}{3}\right)^{\text {rd }}$ of its initial volume $\left(V_0=3\right.$ litre $)$ by applying required...
JEE MainPhysicsEasy
View Solution
QJEE MAIN_2026
An ideal gas undergoes a process maintaining relation between pressure ( $P$ ) and volume ( $V$ ) as $P=P_{\mathrm{o}}\left(1+\left(\frac{V_{\mathrm{o}}}{V}\right)^2\right)^{-1}$,...
JEE MainPhysicsMedium
View Solution
QJEE MAIN_2026
In a Young double slit experiment, the wavelength of incident light is 6000 A , the separation between slits $S_1$...
JEE MainPhysicsEasy
View Solution
QJEE MAIN_2026
Arrange the following resultant mixtures in increasing order of their pH values A. $10 \mathrm{~mL} 0.2 \mathrm{MCa}(\mathrm{OH})_2+25 \mathrm{~mL} 0.1 \mathrm{MHCl}$...
JEE MainChemistryMedium
View Solution
QJEE MAIN_2026
Solid carbon, CaO and $\mathrm{CaCO}_3$ are mixed and allowed to attain equilibrium at TK . $$ \begin{aligned} & \mathrm{CaCO}_3(\mathrm{~s}) \mathrm{f}...
JEE MainChemistryEasy
View Solution
QJEE MAIN_2026
Consider the reaction
$$ 2 \mathrm{H}_2 \mathrm{~S}(\mathrm{~g})+3 \mathrm{O}_2(\mathrm{~g}) \rightarrow 2 \mathrm{H}_2 \mathrm{O}(\mathrm{l})+2 \mathrm{SO}_2(\mathrm{~g}) $$
The magnitude of enthalpy change...
JEE MainChemistryMedium
View Solution
QJEE MAIN_2026
Consider two radiations of wavelengths
JEE MainChemistryEasy
View Solution
QJEE MAIN_2026
' $x$ ' is the product which is obtained from benzene by reacting it with carbon monoxide and hydrogen chloride...
JEE MainChemistryHard
View Solution
QJEE MAIN 20262026
Decomposition of a hydrocarbon follows the equation $\mathrm{k}=\left(5.5 \times 10^{11} \mathrm{~s}^{-1}\right) \mathrm{e}^{\frac{-28000 \mathrm{~K}}{\mathrm{~T}}}$. The activation energy of reaction is $\_\_\_\_$...
JEE MainChemistryMedium
View Solution
QJEE MAIN 20262026
In a closed flask at 600 K , one mole of $\mathrm{X}_2 \mathrm{Y}_4(\mathrm{~g})$ attains equilibrium as given below :
$...
JEE MainPhysicsEasy
View Solution
QJEE MAIN_2026
Number of paramagnetic complexes among the following is $\_\_\_\_$ .
JEE MainChemistryMedium
View Solution
QJEE MAIN 20262026
500 mL of $0.2 \mathrm{M} \mathrm{MnO}_4^{-}$solution in basic medium when mixed with 500 mL of 1.5 M KI solution, oxidises...
JEE MainChemistryMedium
View Solution
QJEE MAIN 20262026
An alkane $(Y)$ requires 8 moles of oxygen for complete combustion and on chlorination with $\mathrm{Cl}_2 / \mathrm{h} \nu,(\mathrm{Y})$ gives...
JEE MainChemistryMedium
View Solution
Q JEE MAIN 20262026
An excess of $\mathrm{AgNO}_3$ is added to 100 mL of a 0.05 M solution of tetraaquadichloridochromium (III) chloride. The number...
JEE MainChemistryEasy
View Solution
QJEE MAIN 20262026
Treatment of a gas ' $X$ ' with a freshly prepared ferrous sulphate solution gives a compound ' $Y$ '...
JEE MainChemistryEasy
View Solution
QJEE MAIN_2026
Consider the reaction $\mathrm{Xf} \quad \mathrm{Y}$ at 300 K . If $\Delta \mathrm{H}^0$ and K are $28.40 \mathrm{~kJ} \mathrm{~mol}^{-1}$ and...
JEE MainChemistryMedium
View Solution
QJEE MAIN_2026
Sucrose hydrolyses in acidic medium into glucose and fructose by first order rate law with $t_{1 / 2}=3$ hour. The...
JEE MainChemistryMedium
View Solution