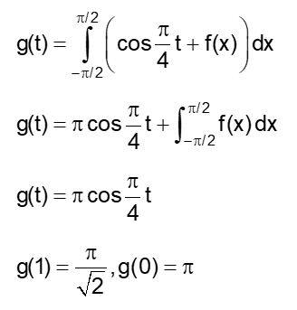
Let $g(t)=\int_{-\pi / 2}^{\pi / 2}\left(\cos \frac{\pi}{4} t+f(x)\right) d x$, where $f(x)=\log _e\left(x+\sqrt{x^2+1}\right), x \in R$. Then which one of the following is correct?
Hello 👋 Welcome to Competishun – India’s most trusted platform for JEE & NEET preparation. Need help with JEE / NEET courses, fees, batches, test series or free study material? Chat with us now 👇