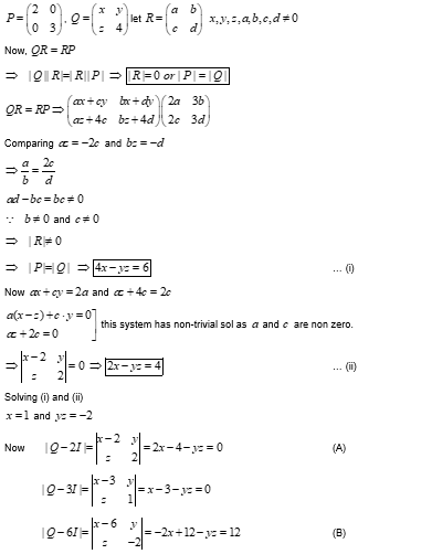
Let $I=\left(\begin{array}{ll}1 & 0 \\ 0 & 1\end{array}\right)$ and $P=\left(\begin{array}{ll}2 & 0 \\ 0 & 3\end{array}\right)$. Let $Q=\left(\begin{array}{ll}x & y \\ z & 4\end{array}\right)$ for some non-zero real numbers $\mathrm{x}, \mathrm{y}$, and z , for which there is a $2 \times 2$ matrix $R$ with all entries being non-zero real numbers, such that $Q R=R P$.
Then which of the following statements is (are) TRUE?
Hello 👋 Welcome to Competishun – India’s most trusted platform for JEE & NEET preparation. Need help with JEE / NEET courses, fees, batches, test series or free study material? Chat with us now 👇