Skip to content
Competishun Header
Home
Courses
Test Series
Books
Free Resources
Result
Contact Us
Free Resources
Courses
Test Series
JEE Solutions
NCERT PDF
Books
Gallery
Result
Blogs
Watch JEE Free Lectures
↗
Download Our App
↗
Follow Us
Login / Register
Back
Report
Report Issue
×
Wrong Answer
Typo Error
Image Issue
Not Clear
Other
JEE MAIN 2023
12-04-2023 S1
Question
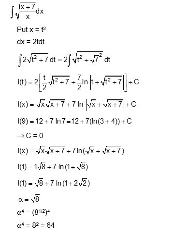
Let $I(x)=\int \sqrt{\frac{x+7}{x}} d x$ and $I(9)=12+7 \log _e 7$. If $I(1)=\alpha+7 \log _e(1+2 \sqrt{2})$, then $\alpha^4$ is equal to $\_\_\_\_$ .
Write Your Answer
Submit Answer
✓ Correct! Well done.
✗ Incorrect. Try again or view the solution.
View Solution
Solution
Question Tags
JEE Main
Mathematics
Medium
Start Preparing for JEE with Competishun
YouTube
Books
App
Tests
Filters
0
Subject
▾
Exam
▾
JEE Main
JEE Advance
Difficulty
▾
Easy
Medium
Hard
Year
▾
✕ Clear All
Showing
18
questions
Q
JEE Advance 2006
2006
$A=\left[\begin{array}{lll}1 & 0 & 0 \\ 2 & 1 & 0 \\ 3 & 2 & 1\end{array}\right]$, if $U_1, U_2$...
JEE Advance
Mathematics
Easy
View Solution
→
Q
JEE ADVANCE 2006
2006
How can the conversion of (i) to (ii) be brought about?
JEE Advance
Chemistry
Easy
View Solution
→
Q
JEE Advance 2006
2006
Find the number of times $\mathrm{y}_1+\mathrm{y}_2=0$ at $\mathrm{x}=0$ in 1 sec
JEE Advance
Physics
Easy
View Solution
→
Q
JEE Advance 2006
2006
Find wave velocity of louder sound
JEE Advance
Physics
Easy
View Solution
→
Q
JEE Advance 2006
2006
A line M through A is drawn parallel to BD . Point S moves such that its distances from the...
JEE Advance
Mathematics
Easy
View Solution
→
Q
JEE Advance 2006
2006
Two waves $\mathrm{y}_1=\mathrm{A} \cos (0.5 \pi \mathrm{x}-100 \pi \mathrm{t})$ and $y_2=A \cos (0.46 \pi x-92 \pi t)$ are travelling in...
JEE Advance
Physics
Easy
View Solution
→
Q
JEE ADVANCE 2006
2006
$\mathrm{MgSO}_4$ on reaction with $\mathrm{NH}_4 \mathrm{OH}$ and $\mathrm{Na}_2 \mathrm{HPO}_4$ forms a white crystalline precipitate. What is its formula?
JEE Advance
Chemistry
Easy
View Solution
→
Q
JEE ADVANCE 2006
2006
What are N and M ?
JEE Advance
Chemistry
Easy
View Solution
→
Q
JEE ADVANCE 2006
2006
The smallest ketone and its next homologue are reacted with $\mathrm{NH}_2 \mathrm{OH}$ to form oxime.
JEE Advance
Chemistry
Easy
View Solution
→
Q
JEE ADVANCE 2006
2006
The given graph represents the variation of Z (compressibility factor $=\frac{\mathrm{PV}}{\mathrm{nRT}}$ ) versus P , for three real gases $...
JEE Advance
Chemistry
Easy
View Solution
→
Q
JEE ADVANCE 2006
2006
The major products P and Q are
JEE Advance
Chemistry
Easy
View Solution
→
Q
JEE Advance 2006
2006
A ball moves over a fixed track as shown in the figure. From $A$ to $B$ the ball rolls without...
JEE Advance
Physics
Easy
View Solution
→
Q
JEE Advance 2006
2006
An infinite current carrying wire passes through point O and in perpendicular to the plane containing a current carrying loop...
JEE Advance
Physics
Easy
View Solution
→
Q
JEE ADVANCE 2006
2006
Which of the following reactants on reaction with conc. NaOH followed by acidification gives the following lactone as the only...
JEE Advance
Chemistry
Easy
View Solution
→
Q
JEE Advance 2006
2006
The graph between $1 / \lambda$ and stopping potential (V) of three metals having work functions $\phi_1, \phi_2$ and $\phi_3$...
JEE Advance
Physics
Easy
View Solution
→
Q
JEE Advance 2006
2006
In a dark room with ambient temperature $\mathrm{T}_0$, a black body is kept at a temperature T . Keeping the...
JEE Advance
Physics
Easy
View Solution
→
Q
JEE ADVANCE 2006
2006
The species present in solution when $\mathrm{CO}_2$ is dissolved in water are
JEE Advance
Chemistry
Easy
View Solution
→
Q
JEE Advance 2006
2006
A circle touches the line L and the circle $\mathrm{C}_1$ externally such that both the circles are on the same...
JEE Advance
Mathematics
Easy
View Solution
→
Load More Questions
Scan the code
Powered by
Joinchat
Hello 👋 Welcome to Competishun – India’s most trusted platform for JEE & NEET preparation.
Need help with JEE / NEET courses, fees, batches, test series or free study material? Chat with us now 👇
Open Chat