Competishun Header

Report Issue

JEE MAIN 2025
4-4-2025 S2
Question
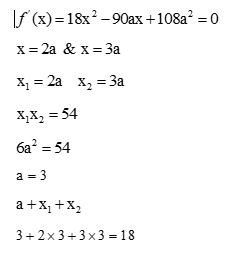
Let $\mathrm{a}>0$. If the function $f(x)=6 x^3-45 a x^2+108 a^2 x+1$ attains its local maximum and minimum values at the points $x_1$ and $x_2$ respectively such that $x_1 x_2=54$, then $\mathrm{a}+x_1+x_2$ is equal to :
Select the correct option:
A
15
B
13
C
18
D
24
✓ Correct! Well done.
✗ Incorrect. Try again or view the solution.
Solution
Solution Image
Question Tags
JEE Main
Mathematics
Easy
Start Preparing for JEE with Competishun
Video Solution
BY competishun
Video Solution
Watch Solution
Filters 0
JEE Main
JEE Advance
Easy
Medium
Hard
Showing 18 questions
QJEE-Main 20242024
The number of moles of methane required to produce $11 \mathrm{~g} \mathrm{CO}_2(\mathrm{~g})$ after complete combustion is: (Given molar mass of...
JEE MainChemistryEasy
View Solution
QJEE Main 20242024
Let the set of all values of $p$, for which $f(x)=\left(p^2-6 p+8\right)\left(\sin ^2 2 x-\cos ^2 2 x\right)+2(2-p) x+7$ does...
JEE MainMathematicsEasy
View Solution
QJEE Main 20242024
Consider the circle $C: x^2+y^2=4$ and the parabola $P: y^2=8 x$. If the set of all values of $\alpha$, for...
JEE MainMathematicsEasy
View Solution
QJEE Main 20242024
Let $\vec{a}=2 \hat{\imath}+\alpha \hat{\jmath}+\hat{k}, \dot{b}=-\hat{\imath}+\hat{k}, \vec{c}=\beta \hat{\jmath}-\hat{k}$, where $\alpha$ and $\beta$ are integers and $\alpha \beta=-6$. Let the values of...
JEE AdvanceMathematicsEasy
View Solution
QJEE Main 20242024
Let $\alpha, \beta ; \alpha>\beta$, be the roots of the equation $x^2-\sqrt{2} x-\sqrt{3}=0$. Let $P_n=\alpha^n-\beta^n, n \in N$. Then $...
JEE MainMathematicsEasy
View Solution
QJEE-Main 20242024
For the electro chemical cell
JEE MainChemistryEasy
View Solution
QJEE-Main 20242024
Consider the given chemical reaction :
JEE MainChemistryEasy
View Solution
QJEE-Main 20242024
consider-the-above-reaction-sequence-and-identify-the-major-product-p
JEE MainChemistryEasy
View Solution
QJEE-Main 20242024
Given below are two statements :
JEE MainChemistryEasy
View Solution
QJEE-Main 20242024
Which one of the following reactions is NOT possible?
JEE MainChemistryEasy
View Solution
QJEE-Main 20242024
The quantity of silver deposited when one coulomb charge is passed through $\mathrm{AgNO}_3$ solution:
JEE MainChemistryEasy
View Solution
QJEE Main 20242024
The sum of the coefficient of $x^{2 / 3}$ and $x^{-2 / 5}$ in the binomial expansion of $...
JEE MainMathematicsEasy
View Solution
QJEE Main 20242024
The value of the integral $\int_{-1}^2 \log _e\left(x+\sqrt{x^2+1}\right) d x$ is :
JEE MainMathematicsEasy
View Solution
QJEE-Main 20242024
Match List - I with List - II.
JEE MainChemistryEasy
View Solution
QJEE Main 20242024
If an unbiased dice is rolled thrice, then the probability of getting a greater number in the $i^{\text {th }}$...
JEE MainMathematicsEasy
View Solution
QJEE Main 20242024
Let a, ar, $a r^{2^2} \ldots \ldots .$. be an infinite G.P. If $\sum_{n=0}^{\infty} a^n=57$ and $\sum_{n=0}^{\infty} a^3 r^{3 n}=9747$,...
JEE MainMathematicsEasy
View Solution
QJEE-Main 20242024
The metal atom present in the complex MABXL (where $\mathrm{A}, \mathrm{B}, \mathrm{X}$ and L are unidentate ligands and M is...
JEE MainChemistryEasy
View Solution
QJEE Main 20242024
The integral $\int_{1 / 4}^{3 / 4} \cos \left(2 \cot ^{-1} \sqrt{\frac{1-\mathrm{x}}{1+\mathrm{x}}}\right) \mathrm{dx}$ is equal to:
JEE MainMathematicsEasy
View Solution
Check this project | Best Developer Portfolio