Competishun Header

Report Issue

JEE MAIN 2024
30-01-2024 S1
Question
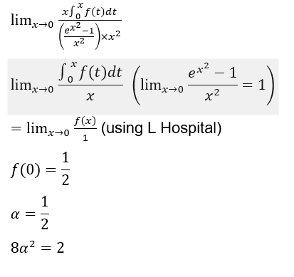
Let $\mathrm{f}:\left[-\frac{\pi}{2}, \frac{\pi}{2}\right] \rightarrow \mathrm{R}$ be a differentiable function such that $f(0)=\frac{1}{2}$, If the $\lim _{x \rightarrow 0} \frac{x \int_0^x f(t) d t}{e^{x^2}-1}=\alpha$, then $8 \alpha^2$ is equal to :
Select the correct option:
A
16
B
2
C
1
D
4
✓ Correct! Well done.
✗ Incorrect. Try again or view the solution.
Solution
Solution Image
Question Tags
JEE Main
Mathematics
Medium
Start Preparing for JEE with Competishun
Filters 0
JEE Main
JEE Advance
Easy
Medium
Hard
Showing 18 questions
QJEE Main 20242024
Let the circle $C_1: x^2+y^2-2(x+y)+1=0$ and $C_2$ be a circle having centre at $(-1,0)$ and radius 2 . If the...
JEE MainMathematicsEasy
View Solution
QJEE Main 20242024
Let $f, \mathrm{~g}: \mathrm{R} \rightarrow \mathrm{R}$ be defined as : $f(\mathrm{x})=|\mathrm{x}-1|$ and $...
JEE MainMathematicsEasy
View Solution
QJEE Main 20242024
If the constant term in the expansion of $\left(\frac{\sqrt[5]{3}}{x}+\frac{2 x}{\sqrt[3]{5}}\right)^{12}, x \neq 0$, is $\alpha \times 2^8 \times \sqrt[5]{3}$, then...
JEE MainMathematicsEasy
View Solution
QJEE Main 20242024
Let $(\alpha, \beta, \gamma)$ be the point $(8,5,7)$ in the line $\frac{x-1}{2}=\frac{y+1}{3}=\frac{z-2}{5}$. Then $\alpha+\beta+\gamma$ is equal to
JEE MainMathematicsEasy
View Solution
QJEE Main 20242024
Let $\mathrm{A}(-1,1)$ and $\mathrm{B}(2,3)$ be two points and P be a variable point above the line $A B$ such that...
JEE MainMathematicsEasy
View Solution
QJEE Main 20242024
Consider three vectors $\vec{a}, \vec{b}, \vec{c}$. Let $|\vec{a}|=2,|\vec{b}|=3$ and $\overrightarrow{\mathrm{a}}=\overrightarrow{\mathrm{b}} \times \overrightarrow{\mathrm{c}}$. If $\alpha \in\left[0, \frac{\pi}{3}\right]$ is the angle between...
JEE MainMathematicsEasy
View Solution
QJEE Main 20242024
Let $\vec{a}=2 \hat{\imath}+5 \hat{\jmath}-\hat{k}, \vec{b}=2 \hat{\imath}-2 \hat{\jmath}+2 \hat{k}$ and $\overrightarrow{\mathrm{c}}$ be three vectors such that $(\vec{c}+\hat{\imath}) \times(\vec{a}+\vec{b}+\hat{\imath})=\vec{a} \times(\vec{c}+\hat{\imath})$. $...
JEE MainMathematicsEasy
View Solution
QJEE Main 20242024
60 words can be made using all the letters of the word BHBJO, with or without meaning. If these words...
JEE MainMathematicsEasy
View Solution
QJEE Main 20242024
The area enclosed between the curves $y=x|x|$ and $\mathrm{y}=\mathrm{x}-|\mathrm{x}|$ is :
JEE MainMathematicsEasy
View Solution
QJEE Main 20242024
Let $S_1=\{z \in C:|z| \leq 5\}, S_2=\left\{z \in C: \operatorname{Im}\left(\frac{z+1-\sqrt{3} i}{1-\sqrt{3} i}\right) \geq 0\right\}$ and $...
JEE MainMathematicsEasy
View Solution
QJEE Main 20242024
The differential equation of the family of circles passing the origin and having center at the line $\mathrm{y}=\mathrm{x}$ is :
JEE MainMathematicsEasy
View Solution
QJEE Main 20242024
Let $f:[-1,2] \rightarrow \mathrm{R}$ be given by $f(\mathrm{x})=2 \mathrm{x}^2+\mathrm{x}+\left[\mathrm{x}^2\right]-[\mathrm{x}]$, where $[\mathrm{t}]$ denotes the greatest integer less than or equal to...
JEE MainMathematicsEasy
View Solution
QJEE Main 20242024
The current in an inductor is given by I = (3t + 8) where t is in second. The magnitude...
JEE MainPhysicsEasy
View Solution
QJEE Main 20242024
A wire of resistance $20 \Omega$ is divided into 10 equal parts. A combination of two parts are connected in...
JEE MainPhysicsEasy
View Solution
QJEE Main 20242024
The maximum height reached by a projectile is 64 m. If the initial velocity is halved, the new maximum height...
JEE MainPhysicsEasy
View Solution
QJEE Main 20242024
A hollow sphere is rolling on a plane surface about its axis of symmetry. The ratio of rotational kinetic energy...
JEE MainPhysicsEasy
View Solution
QJEE Main 20242024
A sonometer wire of resonating length 90 cm has a fundamental frequency of 400 Hz when kept under some tension....
JEE MainPhysicsEasy
View Solution
QJEE Main 20242024
In a single slit experiment, a parallel beam of green light of wavelength 550 nm passes through a slit of...
JEE MainPhysicsEasy
View Solution
Check this project | Best Developer Portfolio