Competishun Header

Report Issue

JEE MAIN 2021
25-07-2021 S2
Question
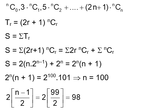
Let $n \in N$ and $[x]$ denote the greatest integer less than or equal to $x$. If the sum of ( $n+1$ ) terms ${ }^{\mathrm{n}} \mathrm{C}_0, 3 \cdot{ }^{\mathrm{n}} \mathrm{C}_1, 5 \cdot{ }^{\mathrm{n}} \mathrm{C}_2, 7 \cdot{ }^{\mathrm{n}} \mathrm{C}_3, \ldots \ldots$ is equal to $2^{100} \times 101$, then $2\left[\frac{\mathrm{n}-1}{2}\right]$ is equal to $\_\_\_\_$ .
Write Your Answer
✓ Correct! Well done.
✗ Incorrect. Try again or view the solution.
Solution
Solution Image
Question Tags
JEE Main
Mathematics
Medium
Start Preparing for JEE with Competishun
Filters 0
JEE Main
JEE Advance
Easy
Medium
Hard
Showing 18 questions
QJEE Main 20242024
Total number of stereo isomers possible for the given structure:
JEE MainChemistryEasy
View Solution
QJEE Main 20242024
The correct stability order of the following resonance structures of $\mathrm{CH}_3-\mathrm{CH}=\mathrm{CH}-\mathrm{CHO}$ is
JEE MainChemistryEasy
View Solution
QJEE Main 20242024
The candela is the luminous intensity, in a given direction, of a source that emits monochromatic radiation of frequency '...
JEE MainChemistryEasy
View Solution
QJEE Main 20242024
At room temperature $\left(27^{\circ} \mathrm{C}\right)$, the resistance of a heating element is $50 \Omega$. The temperature coefficient of the material...
JEE MainPhysicsEasy
View Solution
QJEE Main 20242024
A force $\left(3 x^2+2 x-5\right) N$ displaces a body from $\mathrm{x}=2 \mathrm{~m}$ to $\mathrm{x}=4 \mathrm{~m}$. Work done by this force...
JEE MainPhysicsEasy
View Solution
QJEE Main 20242024
Monochromatic light of wavelength 500 nm is used in Young's double slit experiment. An interference pattern is obtained on a...
JEE MainPhysicsEasy
View Solution
QJEE Main 20242024
The resultant of two vectors $\overrightarrow{\mathrm{A}}$ and $\overrightarrow{\mathrm{B}}$ is perpendicular to $\overrightarrow{\mathrm{A}}$ and its magnitude is half that of $\vec{B}$....
JEE MainPhysicsEasy
View Solution
QJEE Main 20242024
To determine the resistance $(\mathrm{R})$ of a wire, a circuit is designed below, The V-I characteristic curve for this circuit...
JEE MainPhysicsEasy
View Solution
QJEE Main 20242024
A capacitor of reactance $4 \sqrt{3} \Omega$ and a resistor of resistance $4 \Omega$ are connected in series with an...
JEE MainPhysicsEasy
View Solution
QJEE Main 20242024
A particle of mass 0.50 kg executes simple harmonic motion under force $\mathrm{F}=-50\left(\mathrm{Nm}^{-1}\right) \mathrm{x}$. The time period of oscillation is...
JEE MainPhysicsEasy
View Solution
QJEE Main 20242024
A straight magnetic strip has a magnetic moment of $44 \mathrm{Am}^2$. If the strip is bent in a semicircular shape,...
JEE MainPhysicsEasy
View Solution
QJEE Main 20242024
A spherical ball of radius $1 \times 10^{-4} \mathrm{~m}$ and density $10^5 \mathrm{kg} / \mathrm{m}^3$ falls freely under gravity through...
JEE MainPhysicsEasy
View Solution
QJEE Main 20242024
A real gas within a closed chamber at $27^{\circ} \mathrm{C}$ undergoes the cyclic process as shown in figure. The gas...
JEE MainPhysicsEasy
View Solution
QJEE Main 20242024
The energy released in the fusion of 2 kg of hydrogen deep in the sun is $\mathrm{E}_{\mathrm{H}}$ and the energy...
JEE MainPhysicsEasy
View Solution
QJEE Main 20242024
UV light of 4.13 eV is incident on a photosensitive metal surface having work function 3.13 eV. The maximum kinetic...
JEE MainPhysicsEasy
View Solution
QJEE Main 20242024
A proton and a deutron ( $\mathrm{q}=+\mathrm{e}, m=2.0 \mathrm{u}$ ) having same kinetic energies enter a region of uniform magnetic...
JEE MainPhysicsEasy
View Solution
QJEE Main 20242024
The effective resistance between A and B, if resistance of each resistor is R, will be
JEE MainPhysicsEasy
View Solution
QJEE Main 20242024
A satellite of $10^3 \mathrm{~kg}$ mass is revolving in circular orbit of radius 2 R . If $\frac{10^4 \mathrm{R}}{6} J$...
JEE MainPhysicsEasy
View Solution
Check this project | Best Developer Portfolio