Competishun Header

Report Issue

JEE MAIN 2025
28-01-2025 SHIFT-1
Question
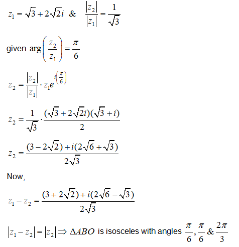
Let O be the origin, the point A be ${z_1} = \sqrt 3 + 2\sqrt 2 i$, the point $B\left( {{z_2}} \right)$ be such that $\sqrt 3 \left| {{z_2}} \right| = \left| {{z_1}} \right|$ and $\arg \left( {{z_2}} \right) = \arg \left( {{z_1}} \right) + \frac{\pi }{6}$. Then
Select the correct option:
A
ABO is a scalene triangle
B
area of triangle ABO is $\frac{{11}}{4}$
C
area of triangle ABO is $\frac{{11}}{{\sqrt 3 }}$
D
ABO is an obtuse angled isosceles triangle
✓ Correct! Well done.
✗ Incorrect. Try again or view the solution.
Solution
Solution Image
Question Tags
JEE Main
Mathematics
Medium
Start Preparing for JEE with Competishun
Video Solution
BY competishun
Video Solution
Watch Solution
Filters 0
JEE Main
JEE Advance
Easy
Medium
Hard
Showing 18 questions
QJee Main 20242024
The number of ways in which 21 identical apples can be distributed among three children such that each child gets...
JEE MainMathematicsEasy
View Solution
QJEE Main 20242024
A 2 kg brick begins to slide over a surface which is inclined at an angle of 45° with respect...
JEE MainPhysicsEasy
View Solution
QJEE-Main 20242024
The $20^{\text {th }}$ term from the end of the progression $20,19 \frac{1}{4}, 18 \frac{1}{2}, 17 \frac{3}{4}, \ldots,-129 \frac{1}{4}$ is...
JEE MainMathematicsEasy
View Solution
QJEE-Main 20242024
Let R be the interior region between the lines $3 x-y+1=0$ and $x+2 y-5=0$ containing the origin. The set of...
JEE MainMathematicsMedium
View Solution
QJEE-Main 20242024
Let the image of the point $(1,0,7)$ in the line $\frac{x}{1}=\frac{y-1}{2}=\frac{z-2}{3}$ be the point $(\alpha, \beta, \gamma)$. Then which one...
JEE MainMathematicsHard
View Solution
QJEE-Main 20242024
Consider the function $\mathrm{f}:(0,2) \rightarrow \mathrm{R}$ defined by $f(x)=\frac{x}{2}+\frac{2}{x}$ and the function $g(x)$ defined by $g(x)= \left\{\begin{array}{cc}\min \{f(t)\}, & 0
JEE MainMathematicsEasy
View Solution
QJEE Main 20242024
An electric bulb rated 50 W – 200 V is connected across a 100 V supply. The power dissipation of...
JEE MainPhysicsEasy
View Solution
QJEE Main 20242024
The equivalent resistance between A and B is:
JEE MainPhysicsMedium
View Solution
QJEE-Main 20242024
Considering only the principal values of inverse trigonometric functions, the number of positive real values of $x$ satisfying $...
JEE MainMathematicsEasy
View Solution
QJee Main 20242024
Number of ways of arranging 8 identical books into 4 identical shelves where any number of shelves may remain empty...
JEE MainMathematicsHard
View Solution
QJEE Main 20242024
Given below are two statements :
Statement I : The contact angle between a solid and a liquid is...
JEE MainPhysicsEasy
View Solution
QJee Main 20242024
Let $A=\left[\begin{array}{ccc}2 & 1 & 2 \\ 6 & 2 & 11 \\ 3 & 3 & 2\end{array}\right]$ and $...
JEE MainMathematicsHard
View Solution
QJEE Main 20242024
Correct formula for height of a satellite from earths surface is :
JEE MainPhysicsEasy
View Solution
QJEE Main 20242024
Let $\vec{a}=\hat{\imath}+\alpha \hat{\jmath}+\beta \hat{k}, \alpha, \beta \in R$. Let a vector $\vec{b}$ be such that the angle between $\vec{a}$ and...
JEE MainMathematicsEasy
View Solution
Q JEE Main 20242024
A bulb and a capacitor are connected in series across an ac supply. A dielectric is then placed between the...
JEE MainPhysicsEasy
View Solution
QJEE Main 20242024
One main scale division of a vernier caliper is equal to $m$ units. If $n^{\text {th }}$ division of main...
JEE MainPhysicsMedium
View Solution
QJEE MAIN 20242024
Let $A(\alpha, 0)$ and $B(0, \beta)$ be the points on the line $5 x+7 y=50$. Let the point $P$ divide...
JEE MainMathematicsEasy
View Solution
QJEE MAIN 20242024
The number of solutions of the equation $...
JEE MainMathematicsEasy
View Solution
Check this project | Best Developer Portfolio