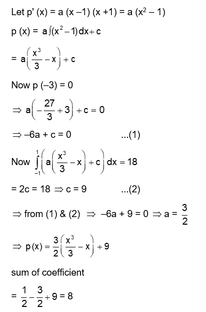
Let $P(x)$ be real polynomial of degree 3 which vanishes at $x=-3$. Let $P(x)$ have local minima at $x=1$, local maxima at $x=-1$ and $\int_{-1}^1 P(x) d x=18$, then the sum of all the coefficients of the polynomial $P(x)$ is equal to $\_\_\_\_$ .
Hello 👋 Welcome to Competishun – India’s most trusted platform for JEE & NEET preparation. Need help with JEE / NEET courses, fees, batches, test series or free study material? Chat with us now 👇