Competishun Header

Report Issue

JEE Advanced 2025
PAPER-2 2025
Multiple correct answers - Select all that apply
Question
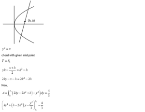
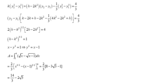
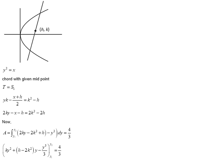
Let S denote the locus of the mid-points of those chords of the parabola $y^2=x$, such that the area of the region enclosed between the parabola and the chord is $\frac{4}{3}$. Let $\mathcal{R}$ denote the region lying in the first quadrant, enclosed by the parabola $y^2=x$, the curve $S$, and the lines $x=1$ and $x=4$.
Then which of the following statements is (are) TRUE?
Select ALL correct options:
A
$(4, \sqrt{3}) \in S$
B
$(5, \sqrt{2}) \in S$
C
Area of $\mathcal{R}$ is $\frac{14}{3}-2 \sqrt{3}$
D
Area of $\mathcal{R}$ is $\frac{14}{3}-\sqrt{3}$
✓ Correct! Well done.
✗ Incorrect. Try again or view the solution.
⚠ Partially correct. Some answers are missing.
Solution
Question Tags
JEE Advance
Mathematics
Easy
Start Preparing for JEE with Competishun
Video Solution
BY competishun
Video Solution
Watch Solution
Filters 0
JEE Main
JEE Advance
Easy
Medium
Hard
Showing 18 questions
QJEE Main 20242024
Let $A=\left[\begin{array}{ll}1 & 2 \\ 0 & 1\end{array}\right]$ and $B=I+\operatorname{adj}(A)+(\operatorname{adj} A)^2+\cdots+(\operatorname{adj} A)^{10}$. Then, the sum of all the elements of...
JEE MainMathematicsEasy
View Solution
QJEE Main 20242024
Let three real numbers 𝑎, 𝑏, 𝑐 be in arithmetic progression and a +1, b, c +3 be in geometric...
JEE MainMathematicsEasy
View Solution
QJEE MAIN 20242024
The sum of squares of all possible values of $k$, for which area of the region bounded by the parabolas...
JEE MainMathematicsEasy
View Solution
QJEE Main 20242024
Let a relation R on N x N be defined as : $\left(x_1, y_1\right) R\left(x_2, y_2\right)$ if and only if...
JEE MainMathematicsEasy
View Solution
QJEE MAIN 20242024
Three points $\mathrm{O}(0,0), \mathrm{P}\left(\mathrm{a}, \mathrm{a}^2\right), \mathrm{Q}\left(-\mathrm{b}, \mathrm{b}^2\right), \mathrm{a}>0, \mathrm{~b}>0$, are on the parabola $y=x^2$. Let $S_1$ be the area of...
JEE MainMathematicsEasy
View Solution
QJEE MAIN 20242024
The lines $\mathrm{L}_1, \mathrm{~L}_2, \ldots, \mathrm{I}_{20}$ are distinct. For $\mathrm{n}=1,2,3, \ldots, 10$ all the lines $\mathrm{L}_{2 \mathrm{n}-1}$ are parallel to...
JEE MainMathematicsEasy
View Solution
Q JEE MAIN 20242024
Let $\vec{a}=\hat{\imath}+\hat{\jmath}+\hat{k}, \vec{b}=-\hat{\imath}-8 \hat{\jmath}+2 \hat{k}$ and $\overrightarrow{\mathrm{c}}=4 \hat{\imath}+\mathrm{c}_2 \hat{\jmath}+\mathrm{c}_3 \hat{\mathrm{k}}$ be three vectors such that $\vec{b} \times \vec{a}=\vec{c} \times \vec{a}$....
JEE MainMathematicsEasy
View Solution
QJEE Main 20242024
Let C be a circle with radius $\sqrt{10}$ units and centre at the origin. Let the line $x+y=2$ intersects the...
JEE MainMathematicsEasy
View Solution
QJEE Main 20242024
If $\lambda>0$, let $\theta$ be the angle between the vectors $\vec{a}=\hat{\imath}+\lambda \hat{\jmath}-3 \hat{k}$ and $\vec{b}=3 \hat{\imath}-\hat{\jmath}+2 \hat{k}$. If the vectors...
JEE MainMathematicsEasy
View Solution
QJEE Main 20242024
If the function $f(x)=\left\{\begin{array}{ll}\frac{72^x-9^x-8^x+1}{\sqrt{2}-\sqrt{1+\cos x}} & , x \neq 0 \\ \log _e 2 \log _e 3 & , x=0\end{array}\right.$...
JEE MainMathematicsEasy
View Solution
QJEE MAIN 20242024
If $y=\frac{(\sqrt{x}+1)\left(x^2-\sqrt{x}\right)}{x \sqrt{x}+x+\sqrt{x}}+\frac{1}{15}\left(3 \cos ^2 x-5\right) \cos ^3 x$, then $96 y^{\prime}\left(\frac{\pi}{6}\right)$ is equal to :
JEE MainMathematicsEasy
View Solution
QJEE Main 20242024
Vanillin compound obtained from vanilla beans, has total sum of oxygen atoms and  electrons is__
JEE MainChemistryEasy
View Solution
QJEE MAIN 20242024
Let $f:(0, \infty) \rightarrow R$ and $F(x)=\int_0^x t f(t) d t$. If $F\left(x^2\right)=\mathrm{x}^4+\mathrm{x}^5$, then $\sum_{\mathrm{r}=1}^{12} \mathrm{f}\left(\mathrm{r}^2\right)$ is equal to :
JEE MainPhysicsEasy
View Solution
QJEE Main 20242024
2.7 Kg of each of water and acetic acid are mixed, The freezing point of the solution will be $...
JEE MainChemistryEasy
View Solution
QJEE MAIN 20242024
Let $A=I_2-2 M^{\mathrm{T}}$, where M is real matrix of order $2 \times 1$ such that the relation $\mathrm{M}^{\mathrm{T}} \mathrm{M}=\mathrm{I}_1$ holds....
JEE MainPhysicsEasy
View Solution
QJEE Main 20242024
A first row transition metal with highest enthalpy of atomisation, upon reaction with oxygen at high temperature forms oxides of...
JEE MainChemistryEasy
View Solution
QJEE Main 20242024
The total number of 'sigma' and 'Pi' bonds in 2-oxohex-4-ynoic acid is____.
JEE MainChemistryEasy
View Solution
QJEE Main 20242024
Consider the following reaction, the rate expression of which is given below
$...
JEE MainChemistryEasy
View Solution
Check this project | Best Developer Portfolio