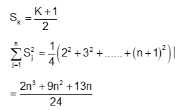
Let $S_k=\frac{1+2+\ldots \ldots+K}{K}$ and $\sum_{j=1}^n S_j^2=\frac{n}{A}\left(B n^2+C n+D\right)$, where $A, B, C, D \in N$ and $A$ has least value. Then
Hello 👋 Welcome to Competishun – India’s most trusted platform for JEE & NEET preparation. Need help with JEE / NEET courses, fees, batches, test series or free study material? Chat with us now 👇