Competishun Header

Report Issue

JEE Advance 2011
Paper-1
Question
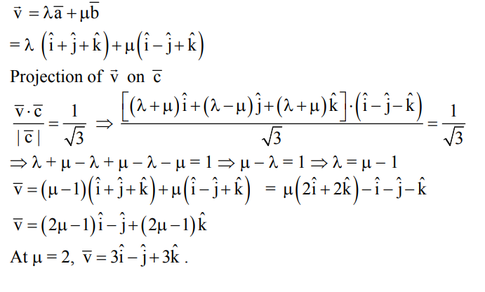
Let $\vec{a}=\hat{i}+\hat{j}+\hat{k}, \vec{b}=\hat{i}+\hat{j}+\hat{k}$ and $\vec{c}=\hat{i}-\hat{j}-\hat{k}$ be three vectors. A vector $\vec{v}$ in the plane of $\vec{a}$ and $\vec{b}$, whose projection on $\overrightarrow{\mathrm{c}}$ is $\frac{1}{\sqrt{3}}$, is given by
Select the correct option:
A
$\hat{i}-3 \hat{j}+3 \hat{k}$
B
$-3 \hat{\mathrm{i}}-3 \hat{\mathrm{j}}+\hat{\mathrm{k}}$
C
$3 \hat{i}-\hat{j}+3 \hat{k}$
D
$\hat{i}+3 \hat{j}-3 \hat{k}$
✓ Correct! Well done.
✗ Incorrect. Try again or view the solution.
Solution
Solution Image
Question Tags
JEE Advance
Mathematics
Easy
Start Preparing for JEE with Competishun
Filters 0
JEE Main
JEE Advance
Easy
Medium
Hard
Showing 18 questions
QJEE Main 20242024
The number of integers, between 100 and 1000 having the sum of their digits equals to 14, is
JEE MainMathematicsEasy
View Solution
QJEE Main 20242024
For a differentiable function $\mathrm{f}: I R \rightarrow I R$, suppose $f^{\prime}(\mathrm{x})=3 f(\mathrm{x})+\alpha$, where $\alpha \in \mathrm{IR}, f(0)=1$ and $...
JEE MainMathematicsEasy
View Solution
QJEE-Main 20242024
The number of moles of methane required to produce $11 \mathrm{~g} \mathrm{CO}_2(\mathrm{~g})$ after complete combustion is: (Given molar mass of...
JEE MainChemistryEasy
View Solution
QJEE Main 20242024
Let the set of all values of $p$, for which $f(x)=\left(p^2-6 p+8\right)\left(\sin ^2 2 x-\cos ^2 2 x\right)+2(2-p) x+7$ does...
JEE MainMathematicsEasy
View Solution
QJEE Main 20242024
Consider the circle $C: x^2+y^2=4$ and the parabola $P: y^2=8 x$. If the set of all values of $\alpha$, for...
JEE MainMathematicsEasy
View Solution
QJEE Main 20242024
Let $\vec{a}=2 \hat{\imath}+\alpha \hat{\jmath}+\hat{k}, \dot{b}=-\hat{\imath}+\hat{k}, \vec{c}=\beta \hat{\jmath}-\hat{k}$, where $\alpha$ and $\beta$ are integers and $\alpha \beta=-6$. Let the values of...
JEE AdvanceMathematicsEasy
View Solution
QJEE Main 20242024
Let $\alpha, \beta ; \alpha>\beta$, be the roots of the equation $x^2-\sqrt{2} x-\sqrt{3}=0$. Let $P_n=\alpha^n-\beta^n, n \in N$. Then $...
JEE MainMathematicsEasy
View Solution
QJEE-Main 20242024
For the electro chemical cell
JEE MainChemistryEasy
View Solution
QJEE-Main 20242024
Consider the given chemical reaction :
JEE MainChemistryEasy
View Solution
QJEE-Main 20242024
consider-the-above-reaction-sequence-and-identify-the-major-product-p
JEE MainChemistryEasy
View Solution
QJEE-Main 20242024
Given below are two statements :
JEE MainChemistryEasy
View Solution
QJEE-Main 20242024
Which one of the following reactions is NOT possible?
JEE MainChemistryEasy
View Solution
QJEE-Main 20242024
The quantity of silver deposited when one coulomb charge is passed through $\mathrm{AgNO}_3$ solution:
JEE MainChemistryEasy
View Solution
QJEE Main 20242024
The sum of the coefficient of $x^{2 / 3}$ and $x^{-2 / 5}$ in the binomial expansion of $...
JEE MainMathematicsEasy
View Solution
QJEE Main 20242024
The value of the integral $\int_{-1}^2 \log _e\left(x+\sqrt{x^2+1}\right) d x$ is :
JEE MainMathematicsEasy
View Solution
QJEE-Main 20242024
Match List - I with List - II.
JEE MainChemistryEasy
View Solution
QJEE Main 20242024
If an unbiased dice is rolled thrice, then the probability of getting a greater number in the $i^{\text {th }}$...
JEE MainMathematicsEasy
View Solution
QJEE Main 20242024
Let a, ar, $a r^{2^2} \ldots \ldots .$. be an infinite G.P. If $\sum_{n=0}^{\infty} a^n=57$ and $\sum_{n=0}^{\infty} a^3 r^{3 n}=9747$,...
JEE MainMathematicsEasy
View Solution
Check this project | Best Developer Portfolio