Competishun Header

Report Issue

JEE-ADVANCED-2014_P1
PAPER 1
Multiple correct answers - Select all that apply
Question
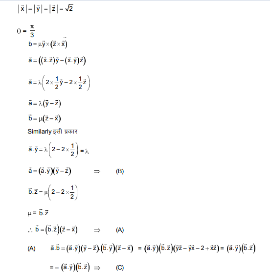
Let $\vec{x}, \vec{y}$ and $\vec{z}$ be three vectors each of magnitude $\sqrt{2}$ and the angle between each pair of them is $\frac{\pi}{3}$. If $\vec{a}$ is a nonzero vector perpendicular to $\vec{x}$ and $\vec{y} \times \vec{z}$ and $\vec{b}$ is a nonzero vector perpendicular to $\vec{y}$ and $\vec{z} \times \vec{x}$, then
Select ALL correct options:
A
$\vec{b}=(\vec{b} \cdot \vec{z})(\vec{z}-\vec{x})$
B
$\vec{a}=(\vec{a} \cdot \vec{y})(\vec{y}-\vec{z})$
C
$\vec{a} \cdot \vec{b}=-(\vec{a} \cdot \vec{y})(\vec{b} \cdot \vec{z})$
D
$\vec{a}=(\vec{a} \cdot \vec{y})(\vec{z}-\vec{y})$
✓ Correct! Well done.
✗ Incorrect. Try again or view the solution.
⚠ Partially correct. Some answers are missing.
Solution
Solution Image
Question Tags
JEE Advance
Mathematics
Easy
Start Preparing for JEE with Competishun
Filters 0
JEE Main
JEE Advance
Easy
Medium
Hard
Showing 18 questions
QJEE MAIN 20242024
Three points $\mathrm{O}(0,0), \mathrm{P}\left(\mathrm{a}, \mathrm{a}^2\right), \mathrm{Q}\left(-\mathrm{b}, \mathrm{b}^2\right), \mathrm{a}>0, \mathrm{~b}>0$, are on the parabola $y=x^2$. Let $S_1$ be the area of...
JEE MainMathematicsEasy
View Solution
QJEE MAIN 20242024
The lines $\mathrm{L}_1, \mathrm{~L}_2, \ldots, \mathrm{I}_{20}$ are distinct. For $\mathrm{n}=1,2,3, \ldots, 10$ all the lines $\mathrm{L}_{2 \mathrm{n}-1}$ are parallel to...
JEE MainMathematicsEasy
View Solution
Q JEE MAIN 20242024
Let $\vec{a}=\hat{\imath}+\hat{\jmath}+\hat{k}, \vec{b}=-\hat{\imath}-8 \hat{\jmath}+2 \hat{k}$ and $\overrightarrow{\mathrm{c}}=4 \hat{\imath}+\mathrm{c}_2 \hat{\jmath}+\mathrm{c}_3 \hat{\mathrm{k}}$ be three vectors such that $\vec{b} \times \vec{a}=\vec{c} \times \vec{a}$....
JEE MainMathematicsEasy
View Solution
QJEE Main 20242024
Let C be a circle with radius $\sqrt{10}$ units and centre at the origin. Let the line $x+y=2$ intersects the...
JEE MainMathematicsEasy
View Solution
QJEE Main 20242024
If $\lambda>0$, let $\theta$ be the angle between the vectors $\vec{a}=\hat{\imath}+\lambda \hat{\jmath}-3 \hat{k}$ and $\vec{b}=3 \hat{\imath}-\hat{\jmath}+2 \hat{k}$. If the vectors...
JEE MainMathematicsEasy
View Solution
QJEE Main 20242024
If the function $f(x)=\left\{\begin{array}{ll}\frac{72^x-9^x-8^x+1}{\sqrt{2}-\sqrt{1+\cos x}} & , x \neq 0 \\ \log _e 2 \log _e 3 & , x=0\end{array}\right.$...
JEE MainMathematicsEasy
View Solution
QJEE MAIN 20242024
If $y=\frac{(\sqrt{x}+1)\left(x^2-\sqrt{x}\right)}{x \sqrt{x}+x+\sqrt{x}}+\frac{1}{15}\left(3 \cos ^2 x-5\right) \cos ^3 x$, then $96 y^{\prime}\left(\frac{\pi}{6}\right)$ is equal to :
JEE MainMathematicsEasy
View Solution
QJEE Main 20242024
Vanillin compound obtained from vanilla beans, has total sum of oxygen atoms and  electrons is__
JEE MainChemistryEasy
View Solution
QJEE MAIN 20242024
Let $f:(0, \infty) \rightarrow R$ and $F(x)=\int_0^x t f(t) d t$. If $F\left(x^2\right)=\mathrm{x}^4+\mathrm{x}^5$, then $\sum_{\mathrm{r}=1}^{12} \mathrm{f}\left(\mathrm{r}^2\right)$ is equal to :
JEE MainPhysicsEasy
View Solution
QJEE Main 20242024
2.7 Kg of each of water and acetic acid are mixed, The freezing point of the solution will be $...
JEE MainChemistryEasy
View Solution
QJEE MAIN 20242024
Let $A=I_2-2 M^{\mathrm{T}}$, where M is real matrix of order $2 \times 1$ such that the relation $\mathrm{M}^{\mathrm{T}} \mathrm{M}=\mathrm{I}_1$ holds....
JEE MainPhysicsEasy
View Solution
QJEE Main 20242024
A first row transition metal with highest enthalpy of atomisation, upon reaction with oxygen at high temperature forms oxides of...
JEE MainChemistryEasy
View Solution
QJEE Main 20242024
The total number of 'sigma' and 'Pi' bonds in 2-oxohex-4-ynoic acid is____.
JEE MainChemistryEasy
View Solution
QJEE Main 20242024
Consider the following reaction, the rate expression of which is given below
$...
JEE MainChemistryEasy
View Solution
QJEE Main 20242024
From 6.55 g of aniline, the maximum amount of acetanilide that can be prepared will be $\_\_\_\_$ $\times 10^{-1} \mathrm{~g}$.
JEE MainChemistryEasy
View Solution
QJEE Main 20242024
Three moles of an ideal gas are compressed isothermally from 60 L to 20 L using constant pressure of 5...
JEE MainPhysicsEasy
View Solution
QJEE Main 20242024
Number of compounds/species from the following with non-zero dipole moment is $\_\_\_\_$ $...
JEE MainChemistryEasy
View Solution
QJEE Main 20242024
The maximum number of orbitals which can identified with $\mathrm{n}=4$ and $\mathrm{m}_l=0$ is $\_\_\_\_$
JEE MainChemistryEasy
View Solution
Check this project | Best Developer Portfolio