Competishun Header

Report Issue

JEE MAIN 2024
30-01-2024
Question
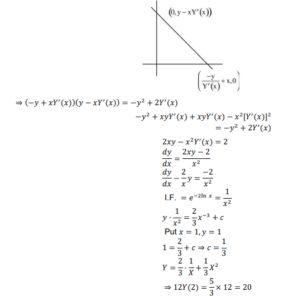
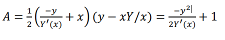
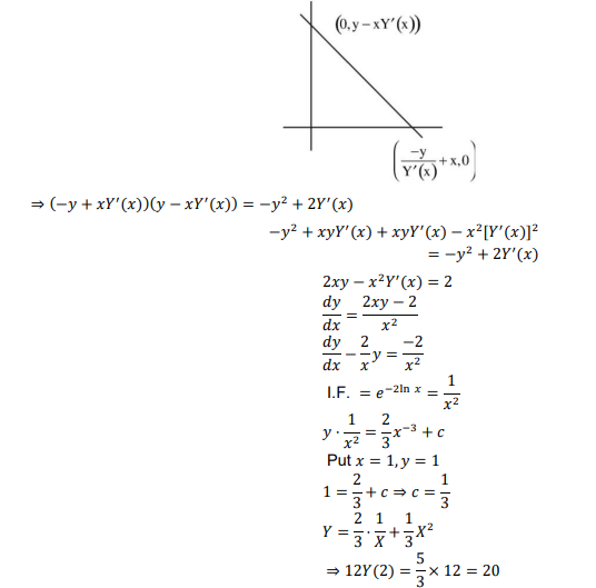
Let $Y=Y(X)$ be a curve lying in the first quadrant such that the area enclosed by the line $\mathrm{Y}-\mathrm{y}=\mathrm{Y}^{\prime}(\mathrm{x})(\mathrm{X}- \mathrm{x})$ and the co-ordinate axes, where ( $\mathrm{x}, \mathrm{y}$ ) is any point on the curve, is always $\frac{-y^2}{2 Y^{\prime}(x)}+1, Y^{\prime}(x) \neq 0$. If $Y(1)=$ 1 , then $12 \mathrm{Y}(2)$ equals
Write Your Answer
✓ Correct! Well done.
✗ Incorrect. Try again or view the solution.
Solution

Question Tags
JEE Main
Mathematics
Hard
Start Preparing for JEE with Competishun
Filters 0
JEE Main
JEE Advance
Easy
Medium
Hard
Showing 18 questions
QJEE Main 20242024
If an iron (III) complex with the formula $\left[\mathrm{Fe}\left(\mathrm{NH}_3\right)_{\mathrm{x}}(\mathrm{CN})_{\mathrm{y}}\right]^{-}$has no electron in its $\mathrm{e}_{\mathrm{g}}$ orbital, then the value of $\mathrm{x}+\mathrm{y}$...
JEE MainChemistryEasy
View Solution
QJee Main 20242024
Let the area of the region $\left\{(x, y): 0 \leq x \leq 3,0 \leq y \leq \min \left\{\mathrm{x}^2+2,2 \mathrm{x}+2\right\}\right\}$ be...
JEE MainMathematicsMedium
View Solution
QJEE Main 20242024
The correct order of the first ionization enthalpy is
JEE MainChemistryEasy
View Solution
QJEE MAIN 20242024
The variance $\sigma^2$ of the data
JEE MainMathematicsEasy
View Solution
QJee Main 20242024
If $\int_{\frac{\pi}{6}}^{\frac{\pi}{3}} \sqrt{1-\sin 2 x} d x=\alpha+\beta \sqrt{2}+\gamma \sqrt{3}$, where $\alpha, \beta$ and $\gamma$ are rational numbers, then $...
JEE MainMathematicsMedium
View Solution
QJEE MAIN 20242024
The area of the region enclosed by the parabola $(y-2)^2=x-1$, the line $x-2 y+4=0$ and the positive coordinate axes is
JEE MainMathematicsEasy
View Solution
QJEE MAIN 20242024
The number of real solutions of the equation $x\left(x^2+3|x|+5|x-1|+6|x-2|\right)=0$ is
JEE MainMathematicsEasy
View Solution
QJee Main 20242024
Let $\mathrm{P}(\alpha, \beta)$ be a point on the parabola $\mathrm{y}^2=4 \mathrm{x}$. If P also lies on the chord of the...
JEE MainMathematicsMedium
View Solution
QJee Main 20242024
Let for any three distinct consecutive terms $a, b, c$ of an A.P, the lines $a x+b y+c=0$ be concurrent...
JEE MainMathematicsMedium
View Solution
QJEE MAIN 20242024
In an examination of Mathematics paper, there are 20 questions of equal marks and the question paper is divided into...
JEE MainMathematicsEasy
View Solution
QJEE Main 20242024
The adsorbent used in adsorption chromatography is/are
A. silica gel B. alumina
C. quick lime D. magnesia
...
JEE MainChemistryEasy
View Solution
QJee Main 20242024
Let $\alpha, \beta$ be the roots of the equation $x^2-\sqrt{6} x+3=0$ such that $\operatorname{Im}(\alpha)>\operatorname{Im}(\beta)$. Let $a, b$ be integers not...
JEE MainMathematicsMedium
View Solution
QJee Main 20242024
Let a unit vector $\hat{\mathrm{u}}=\mathrm{x} \hat{\mathrm{i}}+\mathrm{y} \hat{\mathrm{j}}+\mathrm{z} \hat{\mathrm{k}}$ make angles $\frac{\pi}{2}, \frac{\pi}{3}$ and $\frac{2 \pi}{3}$ with the vectors $...
JEE MainMathematicsMedium
View Solution
QJEE Main 20242024
Common name of Benzene-1, 2-diol is
JEE MainPhysicsEasy
View Solution
QJee Main 20242024
An integer is chosen at random from the integers $1,2,3, \ldots, 50$. The probability that the chosen integer is a...
JEE MainMathematicsMedium
View Solution
QJee Main 20242024
If $R$ is the smallest equivalence relation on the set $\{1,2,3,4\}$ such that $\{(1,2),(1,3)\} \subset R$, then the number of...
JEE MainMathematicsMedium
View Solution
QJee Main 20242024
Let $\mathrm{y}=\log _{\mathrm{e}}\left(\frac{1-\mathrm{x}^2}{1+\mathrm{x}^2}\right),-1<\mathrm{x}<1$. Then at $\mathrm{x}=\frac{1}{2}$, the value of $225\left(y^{\prime}-y^{\prime \prime}\right)$ is equal to
JEE MainMathematicsMedium
View Solution
QJEE MAIN 20242024
Let $S_n$ be the sum to $n$-terms of an arithmetic progression $3,7,11, \ldots \ldots$. If $40<\left(\frac{6}{\mathrm{n}(\mathrm{n}+1)} \sum_{\mathrm{k}=1}^{\mathrm{n}} \mathrm{S}_{\mathrm{k}}\right)<42$, then n equals
JEE MainMathematicsMedium
View Solution
Check this project | Best Developer Portfolio