Report Issue

JEE-Main 2024
01.02.24_(S1)
Question
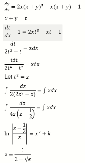
Let $y=y(x)$ be the solution of the differential equation $\frac{d y}{d x}=2 x(x+y)^3-x(x+y)-1, y(0)=1$. Then, $\left(\frac{1}{\sqrt{2}}+y\left(\frac{1}{\sqrt{2}}\right)\right)^2$ equals :
Select the correct option:
A
4/(4+√e)
B
3/(3-√e)
C
2/(1+√e)
D
1/(2-√e)
✓ Correct! Well done.
✗ Incorrect. Try again or view the solution.
Solution
Question Tags
JEE Main
Mathematics
Medium
Start Preparing for JEE with Competishun