Report Issue

JEE-Main 2024
01.02.24_(S1)
Question
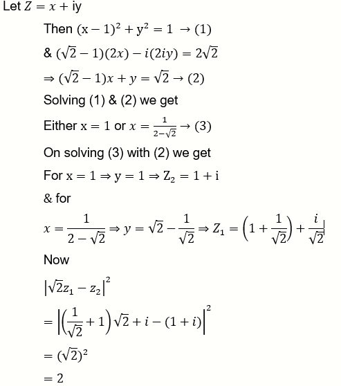
LetS $=\{z \in C:|z-1|=1$ and $(\sqrt{2}-1)(z+\bar{z})-i(z-\bar{z})=2 \sqrt{2}\}$. Let $z_1, z_2 \in S$ be such that $\left|z_1\right|= \max _{z \in S}|z|$ and $\left|z_2\right|=\min _{z \in S}|z|$. Then $\left|\sqrt{2} z_1-z_2\right|^2$ equals:
Select the correct option:
A
1
B
4
C
3
D
2
✓ Correct! Well done.
✗ Incorrect. Try again or view the solution.
Solution
Question Tags
JEE Main
Mathematics
Easy
Start Preparing for JEE with Competishun