Skip to content
Competishun Header
Home
Courses
Test Series
Books
Free Resources
Result
Contact Us
Free Resources
Courses
Test Series
JEE Solutions
NCERT PDF
Books
Gallery
Result
Blogs
Watch JEE Free Lectures
↗
Download Our App
↗
Follow Us
Login / Register
Back
Report
Report Issue
×
Wrong Answer
Typo Error
Image Issue
Not Clear
Other
JEE MAIN 2021
31-08-2021 S1
Question
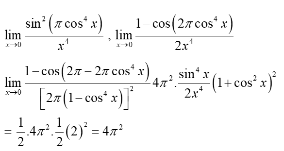
$\lim _{x \rightarrow 0} \frac{\sin ^2\left(\pi \cos ^4 x\right)}{x^4}$ is equal to:
Select the correct option:
A
$\pi^2$
B
$2 \pi^2$
C
$4 \pi^2$
D
$4 \pi$
✓ Correct! Well done.
✗ Incorrect. Try again or view the solution.
View Solution
Solution
Question Tags
JEE Main
Mathematics
Medium
Start Preparing for JEE with Competishun
YouTube
Books
App
Tests
Filters
0
Subject
▾
Exam
▾
JEE Main
JEE Advance
Difficulty
▾
Easy
Medium
Hard
Year
▾
✕ Clear All
Showing
18
questions
Q
JEE Main 2024
2024
A series LCR circuit is subjected to an AC signal of $200 \mathrm{~V}, 50 \mathrm{~Hz}$. If the voltage across the...
JEE Main
Physics
Easy
View Solution
→
Q
JEE Main 2024
2024
A man carrying a monkey on his shoulder does cycling smoothly on a circular track of radius 9 m and...
JEE Main
Physics
Easy
View Solution
→
Q
JEE Main 2024
2024
The electrostatic force $\left(\overrightarrow{\mathrm{F}}_1\right)$ and magnetic force ( $\overrightarrow{\mathrm{F}}_2$ ) acting on a charge q moving with velocity v can...
JEE Main
Physics
Easy
View Solution
→
Q
JEE Main 2024
2024
A particle moves in $x-y$ plane under the influence of a force $\vec{F}$ such that its linear momentum is $...
JEE Main
Physics
Easy
View Solution
→
Q
JEE Main 2024
2024
If n is the number density and d is the diameter of the molecule, then the average distance covered by...
JEE Main
Physics
Easy
View Solution
→
Q
JEE Main 2024
2024
The vehicles carrying inflammable fluids usually have metallic chains touching the ground :
JEE Main
Physics
Easy
View Solution
→
Q
JEE Main 2024
2024
A galvanometer of resistance $100 \Omega$ when connected in series with $400 \Omega$ measures a voltage of upto 10 V...
JEE Main
Physics
Easy
View Solution
→
Q
JEE Main 2024
2024
The angular momentum of an electron in a hydrogen atom is proportional to : (Where r is the radius of...
JEE Main
Physics
Easy
View Solution
→
Q
JEE Main 2024
2024
Which of the following statement is not true about stopping potential $\left(\mathrm{V}_0\right)$ ?
JEE Main
Physics
Easy
View Solution
→
Q
JEE Main 2024
2024
Given below are two statements :
Statement I : When the white light passed through a prism, the red...
JEE Main
Physics
Easy
View Solution
→
Q
JEE Main 2024
2024
Consider the matrices : $\mathrm{A}=\left[\begin{array}{rr}2 & -5 \\ 3 & \mathrm{~m}\end{array}\right], \mathrm{B}=\left[\begin{array}{c}20 \\ \mathrm{~m}\end{array}\right]$ and $X=\left[\begin{array}{l}x \\ y\end{array}\right]$. Let the...
JEE Main
Physics
Easy
View Solution
→
Q
JEE Main 2024
2024
Let the inverse trigonometric functions take principal values. The number of real solutions of the equation $...
JEE Main
Mathematics
Easy
View Solution
→
Q
JEE Main 2024
2024
If $\left(\frac{1}{\alpha+1}+\frac{1}{\alpha+2}+\cdots .+\frac{1}{\alpha+1012}\right)-\left(\frac{1}{2 \cdot 1}+\frac{1}{4 \cdot 3}+\frac{1}{6 \cdot 5}+\cdots .+\frac{1}{2024 \cdot 2023}\right)=\frac{1}{2024}$, then $\alpha$ is equal to-
JEE Main
Mathematics
Easy
View Solution
→
Q
JEE Main 2024
2024
The square of the distance of the image of the point $(6,1,5)$ in the line $\frac{x-1}{3}=\frac{y}{2}=\frac{z-2}{4}$, from the origin is
JEE Main
Mathematics
Easy
View Solution
→
Q
JEE Main 2024
2024
Let $\mathrm{A}, \mathrm{B}$ and C be three points on the parabola $y^2=6 x$ and let the line segment $A B$...
JEE Main
Mathematics
Easy
View Solution
→
Q
JEE Main 2024
2024
Let $A=\{(x, y): 2 x+3 y=23, x, y \in N\}$ and $\mathrm{B}=\{\mathrm{x}:(\mathrm{x}, \mathrm{y}) \in \mathrm{A}\}$. Then the number of one-one...
JEE Main
Mathematics
Easy
View Solution
→
Q
JEE Main 2024
2024
The number of integers, between 100 and 1000 having the sum of their digits equals to 14, is
JEE Main
Mathematics
Easy
View Solution
→
Q
JEE Main 2024
2024
For a differentiable function $\mathrm{f}: I R \rightarrow I R$, suppose $f^{\prime}(\mathrm{x})=3 f(\mathrm{x})+\alpha$, where $\alpha \in \mathrm{IR}, f(0)=1$ and $...
JEE Main
Mathematics
Easy
View Solution
→
Load More Questions
Check this project
|
Best Developer Portfolio
Scan the code
Powered by
Joinchat
Hello 👋 Welcome to Competishun – India’s most trusted platform for JEE & NEET preparation.
Need help with JEE / NEET courses, fees, batches, test series or free study material? Chat with us now 👇
Open Chat