Skip to content
Competishun Header
Home
Courses
Test Series
Books
Free Resources
Result
Contact Us
Free Resources
Courses
Test Series
JEE Solutions
NCERT PDF
Books
Gallery
Result
Blogs
Watch JEE Free Lectures
↗
Download Our App
↗
Follow Us
Login / Register
Back
Report
Report Issue
×
Wrong Answer
Typo Error
Image Issue
Not Clear
Other
JEE MAIN 2025
04-04-2025 SHIFT-1
Question
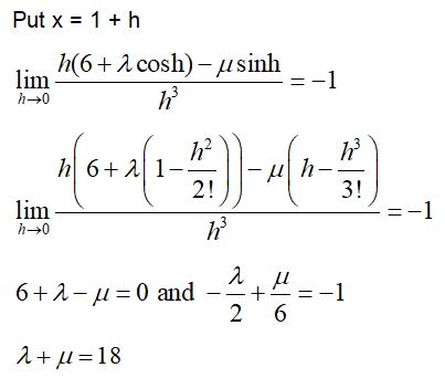
If $\mathop {\lim }\limits_{x \to {1^ + }} \frac{{(x - 1)(6 + \lambda \cos (x - 1)) + \mu \sin (1 - x)}}{{{{(x - 1)}^3}}} = - 1$ , where $\lambda ,\mu \in$ $\mathbb{R}$, then $\lambda + \mu $ is equal to
Select the correct option:
A
18
B
19
C
17
D
20
✓ Correct! Well done.
✗ Incorrect. Try again or view the solution.
View Solution
Solution
Question Tags
JEE Main
Mathematics
Easy
Start Preparing for JEE with Competishun
YouTube
Books
App
Tests
Video Solution
BY competishun
Watch Solution
YouTube
Share this solution:
Share on WhatsApp
Filters
0
Subject
▾
Exam
▾
JEE Main
JEE Advance
Difficulty
▾
Easy
Medium
Hard
Year
▾
✕ Clear All
Showing
18
questions
Q
JEE Advanced 2016
2016
Football teams T1 and T2 have to play two games against each other. It is assumed that the outcomes of...
JEE Advance
Mathematics
Easy
View Solution
→
Q
JEE Advanced 2016
2016
Football teams $T_1$ and $T_2$ have to play two games against each other. It is assumed that the outcomes of...
JEE Advance
Mathematics
Easy
View Solution
→
Q
JEE Advance 2020
2020
A solution of 0.1 M weak base (B) is titrated with 0.1 M of a strong acid (HA). The variation...
JEE Advance
Chemistry
Easy
View Solution
→
Q
JEE Advanced 2020
2020
Choose the correct statement(s) among the following :
JEE Advance
Chemistry
Easy
View Solution
→
Q
JEE Advance 2008
2008
Match the compounds in Column I with their characteristic test(s)/reactions(s) given in Column II. Indicate your answer by darkening the...
JEE Advance
Chemistry
Easy
View Solution
→
Q
JEE Advance 2008
2008
Match the entries in Column I with the correctly related quantum number(s) in Column II. Indicate your answer by darkening...
JEE Advance
Chemistry
Easy
View Solution
→
Q
JEE Advance 2008
2008
Match the conversions in Column I with the type(s) of reaction(s) given in Column II. Indicate your answer by darkening...
JEE Advance
Chemistry
Easy
View Solution
→
Q
JEE Advance 2008
2008
In hexagonal systems of crystals, a frequently encountered arrangement of atoms is described as a hexagonal prism. Here, the top...
JEE Advance
Chemistry
Easy
View Solution
→
Q
JEE Advance 2008
2008
In hexagonal systems of crystals, a frequently encountered arrangement of atoms is described as a hexagonal prism. Here, the top...
JEE Advance
Chemistry
Easy
View Solution
→
Q
JEE Advance 2008
2008
In hexagonal systems of crystals, a frequently encountered arrangement of atoms is described as a hexagonal prism. Here, the top...
JEE Advance
Chemistry
Easy
View Solution
→
Q
JEE Advance 2008
2008
STATEMENT-1 : Aniline on reaction with $\mathrm{NaNO}_2 / \mathrm{HCl}$ at $0^{\circ} \mathrm{C}$ followed by coupling with $\beta$-naphthol gives a dark...
JEE Advance
Chemistry
Easy
View Solution
→
Q
JEE Advance 2008
2008
STATEMENT-1 For an observer looking out through the window of a fast moving train, the nearby objects appear to move...
JEE Advance
Physics
Easy
View Solution
→
Q
JEE Advance 2008
2008
STATEMENT-1: There is a natural asymmetry between converting work to heat and converting heat to work and
STATEMENT-2: No...
JEE Advance
Chemistry
Easy
View Solution
→
Q
JEE Advance 2008
2008
STATEMENT-1: The geometrical isomers of the complex $\left[\mathrm{M}\left(\mathrm{NH}_3\right)_4 \mathrm{Cl}_2\right]$ are optically inactive. and
STATEMENT-2: Both geometrical isomers of the...
JEE Advance
Chemistry
Easy
View Solution
→
Q
JEE Advance 2008
2008
STATEMENT-1 The sensitivity of a moving-coil galvanometer is increased by placing a suitable magnetic material as a core inside the...
JEE Advance
Physics
Easy
View Solution
→
Q
JEE Advance 2008
2008
STATEMENT-1: $\left[\mathrm{Fe}\left(\mathrm{H}_2 \mathrm{O}\right)_5 \mathrm{NO}\right] \mathrm{SO}_4$ is paramagnetic.
and
STATEMENT-2: The Fe in $\left[\mathrm{Fe}\left(\mathrm{H}_2 \mathrm{O}\right)_5 \mathrm{NO}\right] \mathrm{SO}_4$ has three...
JEE Advance
Chemistry
Easy
View Solution
→
Q
JEE Advance 2008
2008
STATEMENT-1 For practical purposes, the earth is used as a reference at zero potential in electrical circuits. and STATEMENT-2 The...
JEE Advance
Physics
Easy
View Solution
→
Q
JEE Advance 2008
2008
Cellulose upon acetylation with excess acetic anhydride/ $\mathrm{H}_2 \mathrm{SO}_4$ (catalytic) gives cellulose triacetate whose structure is
JEE Advance
Chemistry
Easy
View Solution
→
Load More Questions
Scan the code
Powered by
Joinchat
Hello 👋 Welcome to Competishun – India’s most trusted platform for JEE & NEET preparation.
Need help with JEE / NEET courses, fees, batches, test series or free study material? Chat with us now 👇
Open Chat