Competishun Header

Report Issue

JEE Advance2007
Paper-2
Question
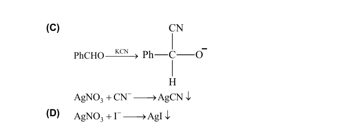
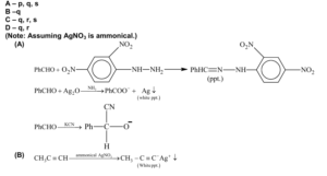
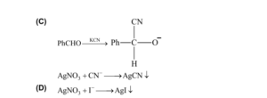
Match the compounds/ions in Column I with their properties/reactions in Column II. Indicate your answer by darkenin the appropriate bubbles of the $4 \times 4$ matrix given in the ORS .
Question Image
✓ Correct! Well done.
✗ Incorrect. Try again or view the solution.
Solution
Question Tags
JEE Advance
Chemistry
Easy
Start Preparing for JEE with Competishun
Filters 0
JEE Main
JEE Advance
Easy
Medium
Hard
Showing 18 questions
QJEE MAIN_2026
A non-volatile, non-electrolyte solid solute when dissolved in 40 g of a solvent, the vapour pressure of the solvent decreased...
JEE MainChemistryEasy
View Solution
QJEE MAIN_2026
The pH of a solution obtained by mixing 5 mL of $0.1 \mathrm{MNH}_4 \mathrm{OH}$ solution with 250 mL of $...
JEE MainChemistryMedium
View Solution
QJEE MAIN_2026
2.0 g of a bromo hydrocarbon $(\mathrm{X})$ was subjected to Carius analysis, gave 3.36 g of AgBr . The percentage...
JEE MainChemistryMedium
View Solution
QJEE MAIN_2026
Consider the following sequence of reactions to give the major product (X)
P g of the major product (X)...
JEE MainChemistryMedium
View Solution
QJEE MAIN_2026
According to Lewis theory, the total number of $\sigma$ bond-pairs and lone pair of electrons around the central atom of...
JEE MainChemistryEasy
View Solution
QJEE MAIN_2026
Identify the colour of compound ' X ' in the sequence of the reaction.
JEE MainChemistryMedium
View Solution
QJEE MAIN_2026
Match the LIST-I with LIST-II
Choose the correct answer from the options given below:
JEE MainChemistryEasy
View Solution
QJEE MAIN_2026
Given below are two statements: In the light of the above statements, choose the correct answer from the options given...
JEE MainChemistryEasy
View Solution
QJEE MAIN_2026
Product C of the following reaction sequence will be
JEE MainChemistryMedium
View Solution
QJEE MAIN_2026
Amongst the following, the total number of compounds soluble in aqueous NaOH at room temperature is:
JEE MainChemistryMedium
View Solution
QJEE MAIN_2026
Match the LIST-I with LIST-II
Choose the correct answer from the options given below:
JEE MainChemistryEasy
View Solution
QJEE MAIN_2026
An alkene (X) on ozonolysis followed by reduction gives following products
The alkene ( X ) is :
JEE MainChemistryHard
View Solution
QJEE MAIN_2026
Increasing order of electron withdrawing power of following functional groups is:
a. -CN
b. -COOH
c. $-\mathrm{NO}_2$...
JEE MainChemistryEasy
View Solution
QJEE MAIN_2026
Match the LIST-I with LIST-II
Choose the correct answer from the options given below:
JEE MainChemistryEasy
View Solution
QJEE MAIN_2026
Correct statements from the following are
A. Potassium dichromate is an oxidising agent and it oxidises $\mathrm{FeSO}_4$ to $\mathrm{Fe}_2\left(\mathrm{SO}_4\right)_3$...
JEE MainChemistryMedium
View Solution
QJEE MAIN_2026
Which of the following is correct set of 4 quantum numbers of $19^{\text {th }}$ electron in Chromium (Atomic number...
JEE MainChemistryEasy
View Solution
QJEE MAIN_2026
The correct statements among the following are,
A. $\mathrm{Mo}(\mathrm{VI})$ and $\mathrm{W}(\mathrm{VI})$ are less stable than $\mathrm{Cr}(\mathrm{VI})$.
B. $\mathrm{Ce}^{4+}$ and $\mathrm{Tb}^{4+}$...
JEE MainChemistryEasy
View Solution
QJEE MAIN_2026
Given below are two statements:
Statement 1 : The covalency of oxygen is generally two but it can exceed upto...
JEE MainChemistryEasy
View Solution