Competishun Header

Report Issue

JEE MAIN 2025
22-01-2025 SHIFT-2
Question
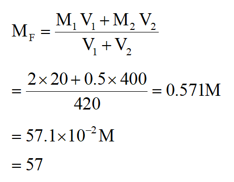
20 mL of 2 M NaOH solution is added to 400 mL of 0.5 M NaOH solution. The final concentration of the solution is $\_\_\_\_$ $\times 10^{-2} \mathrm{M}$. (Nearest integer)
Write Your Answer
✓ Correct! Well done.
✗ Incorrect. Try again or view the solution.
Solution
Solution Image
Question Tags
JEE Main
Chemistry
Medium
Start Preparing for JEE with Competishun
Filters 0
JEE Main
JEE Advance
Easy
Medium
Hard
Showing 18 questions
QJEE Main 20242024
A galvanmeter has a coil of resistance $200 \Omega$ with a full scale deflection at $20 \mu \mathrm{~A}$. The value...
JEE MainPhysicsMedium
View Solution
QJEE Main 20242024
A particle of mass $m$ moves on a straight line with its velocity increasing with distance according to the equation...
JEE MainPhysicsHard
View Solution
Q JEE Main 20242024
Given below are two statements: Statement (I): When currents vary with time, Newton's third law is valid only if momentum...
JEE MainPhysicsMedium
View Solution
QJEE Main 20242024
An astronaut takes a ball of mass $m$ from earth to space. He throws the ball into a circular orbit...
JEE MainPhysicsHard
View Solution
QJEE MAIN 20242024
Let $\alpha$ and $\beta$ be the roots of the equation $\mathrm{px}^2+\mathrm{qx}-r=0$, where $p \neq 0$. If $p, q$ and $r$...
JEE MainMathematicsEasy
View Solution
QJEE MAIN 20242024
Consider the system of linear equations $$ x+y+z=5, x+2 y+\lambda^2 z=9 $$ $x+3 y+\lambda z=\mu$, where $\lambda, \mu \in R$....
JEE MainMathematicsMedium
View Solution
QJEE Main 20242024
The energy equivalent of 1 g of substance is
JEE MainPhysicsEasy
View Solution
QJEE Main 20242024
The width of one of the two slits in a Young's double slit experiment is 4 times that of the...
JEE MainPhysicsEasy
View Solution
QJEE Main 20242024
Arrange the following in the ascending order of wavelength :
(A) Gamma rays ( $\lambda_1$ )
(B) x-ray $\left(\lambda_2\right)$
...
JEE MainPhysicsEasy
View Solution
QJEE MAIN 20242024
Let $f(\mathrm{x})=\left|2 \mathrm{x}^2+5\right| \mathrm{x}|-3|, \mathrm{x} \in \mathrm{R}$. If m and n denote the number of points where $f$ is not...
JEE MainMathematicsEasy
View Solution
QJEE Main 20242024
The volume of an ideal gas $(\gamma=1.5)$ is changed adiabatically from 5 litres to 4 litres. The ratio of initial...
JEE MainPhysicsMedium
View Solution
QJEE Main 20242024
Which of the diode circuit shows correct biasing used for the measurement of dynamic resistance of p-n junction diode :
JEE MainPhysicsEasy
View Solution
QJEE Main 20242024
The dimensional formula of latent heat is:
JEE MainPhysicsEasy
View Solution
QJEE Main 20242024
The magnetic moment of a bar magnet is $0.5 \mathrm{Am}^2$. It is suspended in a uniform magnetic field of $...
JEE MainPhysicsEasy
View Solution
QJEE Main 20242024
A cyclist starts from the point P of a circular ground of radius 2 km and travels along its circumference...
JEE MainPhysicsEasy
View Solution
QJEE Main 20242024
The translational degrees of freedom (f) and rotational degrees of freedom $\left(\mathrm{f}_{\mathrm{r}}\right)$ of $\mathrm{CH}_4$ molecule are
JEE MainPhysicsEasy
View Solution
QJEE Main 20242024
A light unstretchable string passing over a smooth light pulley connects two blocks of masses $m_1$ and $m_2$. If the...
JEE MainPhysicsEasy
View Solution
QJEE Main 20262026
The number of elements in the set $\left\{x \in\left[0,180^{\circ}\right]: \tan \left(x+100^{\circ}\right)=\tan \left(x+50^{\circ}\right) \tan x \tan \left(x-50^{\circ}\right)\right\}$ is $\_\_\_\_$ .
JEE MainMathematicsMedium
View Solution
Check this project | Best Developer Portfolio