Competishun Header

Report Issue

JEE MAIN 2025
02-04-2025 SHIFT-1
Question
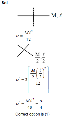
Moment of inertia of a rod of mass 'M' and length 'L' about an axis passing through its center and normal to its length is '$\alpha$'. Now the rod is cut into two equal parts and these parts are joined symmetrically to form a cross shape. Moment of inertia of cross about an axis passing through its center and normal to plane containing cross is :
Select the correct option:
A
$\alpha /4$
B
$\alpha /2$
C
$\alpha$
D
$\alpha /8$
✓ Correct! Well done.
✗ Incorrect. Try again or view the solution.
Solution
Solution Image
Question Tags
JEE Main
Physics
Medium
Start Preparing for JEE with Competishun
Video Solution
BY competishun
Video Solution
Watch Solution
Filters 0
JEE Main
JEE Advance
Easy
Medium
Hard
Showing 18 questions
QJEE-Main 20242024
Given below are two statements :
JEE MainChemistryEasy
View Solution
QJEE-Main 20242024
Which one of the following reactions is NOT possible?
JEE MainChemistryEasy
View Solution
QJEE-Main 20242024
The quantity of silver deposited when one coulomb charge is passed through $\mathrm{AgNO}_3$ solution:
JEE MainChemistryEasy
View Solution
QJEE Main 20242024
The sum of the coefficient of $x^{2 / 3}$ and $x^{-2 / 5}$ in the binomial expansion of $...
JEE MainMathematicsEasy
View Solution
QJEE Main 20242024
The value of the integral $\int_{-1}^2 \log _e\left(x+\sqrt{x^2+1}\right) d x$ is :
JEE MainMathematicsEasy
View Solution
QJEE-Main 20242024
Match List - I with List - II.
JEE MainChemistryEasy
View Solution
QJEE Main 20242024
If an unbiased dice is rolled thrice, then the probability of getting a greater number in the $i^{\text {th }}$...
JEE MainMathematicsEasy
View Solution
QJEE Main 20242024
Let a, ar, $a r^{2^2} \ldots \ldots .$. be an infinite G.P. If $\sum_{n=0}^{\infty} a^n=57$ and $\sum_{n=0}^{\infty} a^3 r^{3 n}=9747$,...
JEE MainMathematicsEasy
View Solution
QJEE-Main 20242024
The metal atom present in the complex MABXL (where $\mathrm{A}, \mathrm{B}, \mathrm{X}$ and L are unidentate ligands and M is...
JEE MainChemistryEasy
View Solution
QJEE Main 20242024
The integral $\int_{1 / 4}^{3 / 4} \cos \left(2 \cot ^{-1} \sqrt{\frac{1-\mathrm{x}}{1+\mathrm{x}}}\right) \mathrm{dx}$ is equal to:
JEE MainMathematicsEasy
View Solution
QJEE-Main 20242024
Given below are two statements:
JEE MainChemistryEasy
View Solution
QJEE Main 20242024
If $\log _e y=3 \sin ^{-1} x$, then $(1-x)^2 y^{\prime \prime}-x y^{\prime}$ at $x=\frac{1}{2}$ is equal to :
JEE MainMathematicsEasy
View Solution
QJEE Main 20242024
Let $B=\left[\begin{array}{ll}1 & 3 \\ 1 & 5\end{array}\right]$ and $A$ be a $2 \times 2$ matrix such that $\mathrm{AB}^{-1}=\mathrm{A}^{-1}$. If...
JEE MainMathematicsEasy
View Solution
QJEE-Main 20242024
Given below are two statements : one is labelled as Assertion (A) and the other is labelled as Reason (R).
JEE MainChemistryEasy
View Solution
QJEE Main 20242024
$\lim _{x \rightarrow \frac{x}{2}}\left(\frac{\int_{x^3}^{(\pi / 2)^3}\left(\sin \left(2 t^{1 / 3}\right)+\cos \left(t^{1 / 3}\right)\right) d t}{\left(x-\frac{\pi}{2}\right)^2}\right)$ is equal to :
JEE MainMathematicsEasy
View Solution
QJEE Main 20242024
Between the following two statements :
Statement-I : Let $\overrightarrow{\mathrm{a}}=\hat{\mathrm{i}}+2 \hat{\mathrm{j}}-3 \hat{\mathrm{k}}$ and $\vec{b}=2 \hat{\imath}+\hat{\jmath}-\hat{k}$. Then the vector $\overrightarrow{\mathrm{r}}$...
JEE MainMathematicsEasy
View Solution
QJEE-Main 20242024
The correct nomenclature for the following compound is:
JEE MainPhysicsEasy
View Solution
QJEE Main 20242024
Let the range of the function $f(x)=\frac{1}{2+\sin 3 x+\cos 3 x}, x \in \mathrm{IR}$ be $[a, b]$. If $\alpha$ and...
JEE MainMathematicsEasy
View Solution
Check this project | Best Developer Portfolio