Skip to content
Competishun Header
Home
Courses
Test Series
Books
Free Resources
Result
Contact Us
Free Resources
Courses
Test Series
JEE Solutions
NCERT PDF
Books
Gallery
Result
Blogs
Watch JEE Free Lectures
↗
Download Our App
↗
Follow Us
Login / Register
Back
Report
Report Issue
×
Wrong Answer
Typo Error
Image Issue
Not Clear
Other
JEE_Advanced 2019
Paper-2 2019
Question
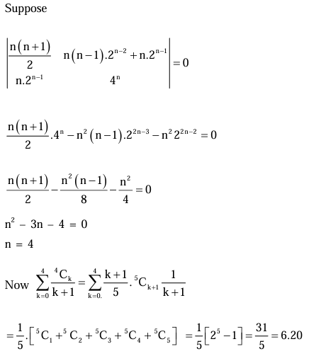
Suppose $\operatorname{det}\left[\begin{array}{cc}\sum_{k=0}^n k & \sum_{k=0}^n{ }^n C_k k^2 \\ \sum_{k=0}^n{ }^n C_k k & \sum_{k=0}^n{ }^n C_k 3^k\end{array}\right]=0$, holds for some positive integer $n$. Then $\sum_{k=0}^n \frac{{ }^n C_k}{k+1}$ equals
Write Your Answer
Submit Answer
✓ Correct! Well done.
✗ Incorrect. Try again or view the solution.
View Solution
Solution
Question Tags
JEE Advance
Mathematics
Easy
Start Preparing for JEE with Competishun
YouTube
Books
App
Tests
Video Solution
BY competishun
Watch Solution
YouTube
Share this solution:
Share on WhatsApp
Filters
0
Subject
▾
Exam
▾
JEE Main
JEE Advance
Difficulty
▾
Easy
Medium
Hard
Year
▾
✕ Clear All
Showing
18
questions
Q
JEE MAIN 2024
2024
Three points $\mathrm{O}(0,0), \mathrm{P}\left(\mathrm{a}, \mathrm{a}^2\right), \mathrm{Q}\left(-\mathrm{b}, \mathrm{b}^2\right), \mathrm{a}>0, \mathrm{~b}>0$, are on the parabola $y=x^2$. Let $S_1$ be the area of...
JEE Main
Mathematics
Easy
View Solution
→
Q
JEE MAIN 2024
2024
The lines $\mathrm{L}_1, \mathrm{~L}_2, \ldots, \mathrm{I}_{20}$ are distinct. For $\mathrm{n}=1,2,3, \ldots, 10$ all the lines $\mathrm{L}_{2 \mathrm{n}-1}$ are parallel to...
JEE Main
Mathematics
Easy
View Solution
→
Q
JEE MAIN 2024
2024
Let $\vec{a}=\hat{\imath}+\hat{\jmath}+\hat{k}, \vec{b}=-\hat{\imath}-8 \hat{\jmath}+2 \hat{k}$ and $\overrightarrow{\mathrm{c}}=4 \hat{\imath}+\mathrm{c}_2 \hat{\jmath}+\mathrm{c}_3 \hat{\mathrm{k}}$ be three vectors such that $\vec{b} \times \vec{a}=\vec{c} \times \vec{a}$....
JEE Main
Mathematics
Easy
View Solution
→
Q
JEE Main 2024
2024
Let C be a circle with radius $\sqrt{10}$ units and centre at the origin. Let the line $x+y=2$ intersects the...
JEE Main
Mathematics
Easy
View Solution
→
Q
JEE Main 2024
2024
If $\lambda>0$, let $\theta$ be the angle between the vectors $\vec{a}=\hat{\imath}+\lambda \hat{\jmath}-3 \hat{k}$ and $\vec{b}=3 \hat{\imath}-\hat{\jmath}+2 \hat{k}$. If the vectors...
JEE Main
Mathematics
Easy
View Solution
→
Q
JEE Main 2024
2024
If the function $f(x)=\left\{\begin{array}{ll}\frac{72^x-9^x-8^x+1}{\sqrt{2}-\sqrt{1+\cos x}} & , x \neq 0 \\ \log _e 2 \log _e 3 & , x=0\end{array}\right.$...
JEE Main
Mathematics
Easy
View Solution
→
Q
JEE MAIN 2024
2024
If $y=\frac{(\sqrt{x}+1)\left(x^2-\sqrt{x}\right)}{x \sqrt{x}+x+\sqrt{x}}+\frac{1}{15}\left(3 \cos ^2 x-5\right) \cos ^3 x$, then $96 y^{\prime}\left(\frac{\pi}{6}\right)$ is equal to :
JEE Main
Mathematics
Easy
View Solution
→
Q
JEE Main 2024
2024
Vanillin compound obtained from vanilla beans, has total sum of oxygen atoms and electrons is__
JEE Main
Chemistry
Easy
View Solution
→
Q
JEE MAIN 2024
2024
Let $f:(0, \infty) \rightarrow R$ and $F(x)=\int_0^x t f(t) d t$. If $F\left(x^2\right)=\mathrm{x}^4+\mathrm{x}^5$, then $\sum_{\mathrm{r}=1}^{12} \mathrm{f}\left(\mathrm{r}^2\right)$ is equal to :
JEE Main
Physics
Easy
View Solution
→
Q
JEE Main 2024
2024
2.7 Kg of each of water and acetic acid are mixed, The freezing point of the solution will be $...
JEE Main
Chemistry
Easy
View Solution
→
Q
JEE MAIN 2024
2024
Let $A=I_2-2 M^{\mathrm{T}}$, where M is real matrix of order $2 \times 1$ such that the relation $\mathrm{M}^{\mathrm{T}} \mathrm{M}=\mathrm{I}_1$ holds....
JEE Main
Physics
Easy
View Solution
→
Q
JEE Main 2024
2024
A first row transition metal with highest enthalpy of atomisation, upon reaction with oxygen at high temperature forms oxides of...
JEE Main
Chemistry
Easy
View Solution
→
Q
JEE Main 2024
2024
The total number of 'sigma' and 'Pi' bonds in 2-oxohex-4-ynoic acid is____.
JEE Main
Chemistry
Easy
View Solution
→
Q
JEE Main 2024
2024
Consider the following reaction, the rate expression of which is given below
$...
JEE Main
Chemistry
Easy
View Solution
→
Q
JEE Main 2024
2024
From 6.55 g of aniline, the maximum amount of acetanilide that can be prepared will be $\_\_\_\_$ $\times 10^{-1} \mathrm{~g}$.
JEE Main
Chemistry
Easy
View Solution
→
Q
JEE Main 2024
2024
Three moles of an ideal gas are compressed isothermally from 60 L to 20 L using constant pressure of 5...
JEE Main
Physics
Easy
View Solution
→
Q
JEE Main 2024
2024
Number of compounds/species from the following with non-zero dipole moment is $\_\_\_\_$ $...
JEE Main
Chemistry
Easy
View Solution
→
Q
JEE Main 2024
2024
The maximum number of orbitals which can identified with $\mathrm{n}=4$ and $\mathrm{m}_l=0$ is $\_\_\_\_$
JEE Main
Chemistry
Easy
View Solution
→
Load More Questions
Check this project
|
Best Developer Portfolio
Scan the code
Powered by
Joinchat
Hello 👋 Welcome to Competishun – India’s most trusted platform for JEE & NEET preparation.
Need help with JEE / NEET courses, fees, batches, test series or free study material? Chat with us now 👇
Open Chat