Skip to content
Competishun Header
Home
Courses
Test Series
Books
Free Resources
Result
Contact Us
Free Resources
Courses
Test Series
JEE Solutions
NCERT PDF
Books
Gallery
Result
Blogs
Watch JEE Free Lectures
↗
Download Our App
↗
Follow Us
Login / Register
Back
Report
Report Issue
×
Wrong Answer
Typo Error
Image Issue
Not Clear
Other
JEE Advance 2010
Paper-2
Question
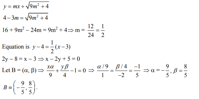
Tangents are drawn from the point $P(3,4)$ to the ellipse $\frac{x^2}{9}+\frac{y^2}{4}=1$ touching the ellipse at points $A$ and $B$.
The coordinates of A and B are
Select the correct option:
A
$(3,0)$ and $(0,2)$
B
$\left(-\frac{8}{5}, \frac{2 \sqrt{161}}{15}\right)$ and $\left(-\frac{9}{5}, \frac{8}{5}\right)$
C
$\left(-\frac{8}{5}, \frac{2 \sqrt{161}}{15}\right)$ and $(0,2)$
D
$(3,0)$ and $\left(-\frac{9}{5}, \frac{8}{5}\right)$
✓ Correct! Well done.
✗ Incorrect. Try again or view the solution.
View Solution
Solution
Question Tags
JEE Advance
Mathematics
Easy
Start Preparing for JEE with Competishun
YouTube
Books
App
Tests
Filters
0
Subject
▾
Exam
▾
JEE Main
JEE Advance
Difficulty
▾
Easy
Medium
Hard
Year
▾
✕ Clear All
Showing
18
questions
Q
JEE Main 2024
2024
The number of species from the following that have pyramidal geometry around the central atom is $\_\_\_\_$
$...
JEE Main
Chemistry
Easy
View Solution
→
Q
JEE Main 2024
2024
The number of unpaired d-electrons in $\left[\mathrm{Co}\left(\mathrm{H}_2 \mathrm{O}\right)_6\right]^{3+}$ is $\_\_\_\_$
JEE Main
Chemistry
Easy
View Solution
→
Q
JEE Main 2024
2024
A first row transition metal in its +2 oxidation state has a spin-only magnetic moment value of 3.86 BM. The...
JEE Main
Chemistry
Easy
View Solution
→
Q
JEE Main 2024
2024
For a strong electrolyte, a plot of molar conductivity against (concentration) ${ }^{1 / 2}$ is a straight line, with...
JEE Main
Chemistry
Easy
View Solution
→
Q
JEE Main 2024
2024
Given below are two statements:
Statement I : The correct order of first ionization enthalpy values of Li, Na, F...
JEE Main
Chemistry
Easy
View Solution
→
Q
JEE Main 2024
2024
Choose the Incorrect Statement about Dalton's Atomic Theory
JEE Main
Chemistry
Easy
View Solution
→
Q
Jee Main 2024
2024
Let the slope of the line $45 x+5 y+3=0$ be $27 r_1+\frac{9 r_2}{2}$ for some $r_1, r_2 \in R$. Then...
JEE Main
Mathematics
Easy
View Solution
→
Q
Jee Main 2024
2024
Let the set $C=\left\{(x, y) \mid x^2-2^y=2023, x, y \in \mathbb{N}\right\}$. Then $\sum_{(x, y) \in C}(x+y)$ is equal to
JEE Main
Mathematics
Medium
View Solution
→
Q
Jee Main 2024
2024
Remainder when $64^{32^{32}}$ is divided by 9 is equal to
JEE Main
Mathematics
Medium
View Solution
→
Q
Jee Main 2024
2024
Let $f(x)=\sqrt{\lim _{r \rightarrow x}\left\{\frac{2 r^2\left[(f(r))^2-f(x) f(r)\right]}{r^2-x^2}-r^3 e^{\frac{f(r)}{r}}\right\}}$ be differentiable in $(-\infty, 0) \cup(0, \infty)$ and $f(1)=1$. Then the value...
JEE Main
Mathematics
Hard
View Solution
→
Q
JEE MAIN 2024
2024
The number of symmetric relations defined on the set $\{1,2,3,4\}$ which are not reflexive is
JEE Main
Mathematics
Easy
View Solution
→
Q
Jee Main 2024
2024
Let $O$ be the origin, and $M$ and $N$ be the points on the lines $\frac{x-5}{4}=\frac{y-4}{1}=\frac{z-5}{3}$ and $\frac{x+8}{12}=\frac{y+2}{5}=\frac{z+11}{9}$ respectively such...
JEE Main
Mathematics
Medium
View Solution
→
Q
JEE Main 2024
2024
Fuel cell, using hydrogen and oxygen as fuels,
A. has been used in spaceship
B. has as efficiency...
JEE Main
Chemistry
Easy
View Solution
→
Q
JEE Main 2024
2024
If an iron (III) complex with the formula $\left[\mathrm{Fe}\left(\mathrm{NH}_3\right)_{\mathrm{x}}(\mathrm{CN})_{\mathrm{y}}\right]^{-}$has no electron in its $\mathrm{e}_{\mathrm{g}}$ orbital, then the value of $\mathrm{x}+\mathrm{y}$...
JEE Main
Chemistry
Easy
View Solution
→
Q
Jee Main 2024
2024
Let the area of the region $\left\{(x, y): 0 \leq x \leq 3,0 \leq y \leq \min \left\{\mathrm{x}^2+2,2 \mathrm{x}+2\right\}\right\}$ be...
JEE Main
Mathematics
Medium
View Solution
→
Q
JEE Main 2024
2024
The correct order of the first ionization enthalpy is
JEE Main
Chemistry
Easy
View Solution
→
Q
JEE MAIN 2024
2024
The variance $\sigma^2$ of the data
JEE Main
Mathematics
Easy
View Solution
→
Q
Jee Main 2024
2024
If $\int_{\frac{\pi}{6}}^{\frac{\pi}{3}} \sqrt{1-\sin 2 x} d x=\alpha+\beta \sqrt{2}+\gamma \sqrt{3}$, where $\alpha, \beta$ and $\gamma$ are rational numbers, then $...
JEE Main
Mathematics
Medium
View Solution
→
Load More Questions
Check this project
|
Best Developer Portfolio
Scan the code
Powered by
Joinchat
Hello 👋 Welcome to Competishun – India’s most trusted platform for JEE & NEET preparation.
Need help with JEE / NEET courses, fees, batches, test series or free study material? Chat with us now 👇
Open Chat