Skip to content
Competishun Header
Home
Courses
Test Series
Books
Free Resources
Result
Contact Us
Free Resources
Courses
Test Series
JEE Solutions
NCERT PDF
Books
Gallery
Result
Blogs
Watch JEE Free Lectures
↗
Download Our App
↗
Follow Us
Login / Register
Back
Report
Report Issue
×
Wrong Answer
Typo Error
Image Issue
Not Clear
Other
JEE-Main 2024
01.02.24_(S1)
Question
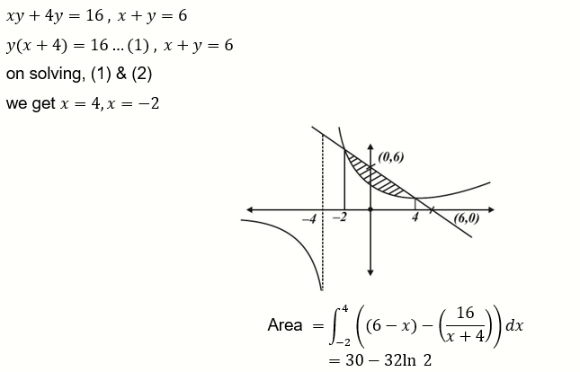
The area enclosed by the curves xy+4y=16 and x+y=6 is equal to :
Select the correct option:
A
28-30$log_e$2
B
30-28$log_e$2
C
30-32$log_e$2
D
32-30$log_e$2
✓ Correct! Well done.
✗ Incorrect. Try again or view the solution.
View Solution
Solution
Question Tags
JEE Main
Mathematics
Medium
Start Preparing for JEE with Competishun
YouTube
Books
App
Tests
Filters
0
Subject
▾
Exam
▾
JEE Main
JEE Advance
Difficulty
▾
Easy
Medium
Hard
Year
▾
✕ Clear All
Showing
18
questions
Q
JEE Main 2024
2024
Consider the following test for a group-IV cation.
$\mathrm{M}^{2+}+\mathrm{H}_2 \mathrm{~S} \rightarrow \mathrm{~A}$ (Black precipitate) + byproduct $\mathrm{A}+$ aqua regia...
JEE Main
Chemistry
Easy
View Solution
→
Q
JEE Main 2024
2024
The vapour pressure of pure benzene and methyl benzene at $27^{\circ} \mathrm{C}$ is given as 80 Torr and 24 Torr...
JEE Main
Chemistry
Easy
View Solution
→
Q
JEE Main 2024
2024
A transition metal 'M' among Sc, Ti, V , Cr, Mn and Fe has the highest second ionisation enthalpy. The...
JEE Main
Physics
Easy
View Solution
→
Q
JEE Main 2024
2024
Number of oxygen atoms present in chemical formula of fuming sulphuric acid is
JEE Main
Physics
Easy
View Solution
→
Q
JEE Main 2024
2024
The electronic configuration of Einsteinium is : (Given atomic number of Einsteinium = 99)
JEE Main
Physics
Easy
View Solution
→
Q
JEE Main 2024
2024
Which out of the following is a correct equation to show change in molar conductivity with respect to concentration for...
JEE Main
Chemistry
Easy
View Solution
→
Q
JEE Main 2024
2024
Which of the following compounds will give silver mirror with ammoniacal silver nitrate?
(A) Formic acid
(B) Formaldehyde...
JEE Main
Chemistry
Easy
View Solution
→
Q
JEE Main 2024
2024
The incorrect statement regarding ethyne is
JEE Main
Chemistry
Easy
View Solution
→
Q
JEE Main 2024
2024
Given below are two statements :
Statement I : The higher oxidation states are more stable down the group...
JEE Main
Chemistry
Easy
View Solution
→
Q
JEE Main 2024
2024
For a sparingly soluble salt $\mathrm{AB}_2$, the equilibrium concentrations of $\mathrm{A}^{2+}$ ions and $\mathrm{B}^{-}$ions are $1.2 \times 10^{-4} \mathrm{M}$ and...
JEE Main
Chemistry
Easy
View Solution
→
Q
JEE Main 2024
2024
Which of the following compound can give positive iodoform test when treated with aqueous KOH solution followed by potassium hypoiodite
JEE Main
Chemistry
Easy
View Solution
→
Q
JEE Main 2024
2024
The incorrect statement about Glucose is :
JEE Main
Chemistry
Easy
View Solution
→
Q
JEE Main 2024
2024
The coordination environment of $\mathrm{Ca}^{2+}$ ion in its complex with $\mathrm{EDTA}^4$ is :
JEE Main
Chemistry
Easy
View Solution
→
Q
JEE Main 2024
2024
The correct increasing order for bond angles among $\mathrm{BF}_3, \mathrm{PF}_3$ and $\mathrm{C} \ell \mathrm{F}_3$ is :
JEE Main
Chemistry
Easy
View Solution
→
Q
JEE Main 2024
2024
Total number of stereo isomers possible for the given structure:
JEE Main
Chemistry
Easy
View Solution
→
Q
JEE Main 2024
2024
The correct stability order of the following resonance structures of $\mathrm{CH}_3-\mathrm{CH}=\mathrm{CH}-\mathrm{CHO}$ is
JEE Main
Chemistry
Easy
View Solution
→
Q
JEE Main 2024
2024
The candela is the luminous intensity, in a given direction, of a source that emits monochromatic radiation of frequency '...
JEE Main
Chemistry
Easy
View Solution
→
Q
JEE Main 2024
2024
At room temperature $\left(27^{\circ} \mathrm{C}\right)$, the resistance of a heating element is $50 \Omega$. The temperature coefficient of the material...
JEE Main
Physics
Easy
View Solution
→
Load More Questions
Check this project
|
Best Developer Portfolio
Scan the code
Powered by
Joinchat
Hello 👋 Welcome to Competishun – India’s most trusted platform for JEE & NEET preparation.
Need help with JEE / NEET courses, fees, batches, test series or free study material? Chat with us now 👇
Open Chat