Skip to content
Competishun Header
Home
Courses
Test Series
Books
Free Resources
Result
Contact Us
Free Resources
Courses
Test Series
JEE Solutions
NCERT PDF
Books
Gallery
Result
Blogs
Watch JEE Free Lectures
↗
Download Our App
↗
Follow Us
Login / Register
Back
Report
Report Issue
×
Wrong Answer
Typo Error
Image Issue
Not Clear
Other
JEE Advance 2009
Paper-1
Question
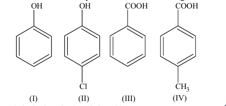
The correct acidity order of the following is
Select the correct option:
A
(III) $>$ (IV) $>$ (II) $>$ (I)
B
(IV) $>$ (III) $>$ (I) $>$ (II)
C
(III) $>$ (II) $>$ (I) $>$ (IV)
D
(II) $>$ (III) $>$ (IV) $>$ (I)
✓ Correct! Well done.
✗ Incorrect. Try again or view the solution.
View Solution
Solution
Question Tags
JEE Advance
Chemistry
Easy
Start Preparing for JEE with Competishun
YouTube
Books
App
Tests
Filters
0
Subject
▾
Exam
▾
JEE Main
JEE Advance
Difficulty
▾
Easy
Medium
Hard
Year
▾
✕ Clear All
Showing
18
questions
Q
JEE Main 2024
2024
A proton and a deutron ( $\mathrm{q}=+\mathrm{e}, m=2.0 \mathrm{u}$ ) having same kinetic energies enter a region of uniform magnetic...
JEE Main
Physics
Easy
View Solution
→
Q
JEE Main 2024
2024
The effective resistance between A and B, if resistance of each resistor is R, will be
JEE Main
Physics
Easy
View Solution
→
Q
JEE Main 2024
2024
A satellite of $10^3 \mathrm{~kg}$ mass is revolving in circular orbit of radius 2 R . If $\frac{10^4 \mathrm{R}}{6} J$...
JEE Main
Physics
Easy
View Solution
→
Q
JEE Main 2024
2024
The de-Broglie wavelength associated with a particle of mass $m$ and energy $E$ is $\mathrm{h} / \sqrt{2 m E}$. The...
JEE Main
Physics
Easy
View Solution
→
Q
JEE Main 2024
2024
The excess pressure inside a soap bubble is thrice the excess pressure inside a second soap bubble. The ratio between...
JEE Main
Physics
Easy
View Solution
→
Q
JEE Main 2024
2024
Two cars are travelling towards each other at speed of $20 \mathrm{~m} \mathrm{~s}^{-1}$ each. When the cars are 300 m...
JEE Main
Physics
Easy
View Solution
→
Q
JEE Main 2024
2024
The magnetic field in a plane electromagnetic wave is $...
JEE Main
Physics
Easy
View Solution
→
Q
JEE Main 2024
2024
A hydrogen atom in ground state is given an energy of 10.2 eV. How many spectral lines will be emitted...
JEE Main
Physics
Easy
View Solution
→
Q
JEE Main 2024
2024
The temperature of a gas is –78° C and the average translational kinetic energy of its molecules is K. The...
JEE Main
Physics
Easy
View Solution
→
Q
JEE Main 2024
2024
The following figure represents two biconvex lenses $\mathrm{L}_1$ and $\mathrm{L}_2$ having focal length 10 cm and 15 cm respectively. The...
JEE Main
Physics
Easy
View Solution
→
Q
JEE Main 2024
2024
A nucleus at rest disintegrates into two smaller nuclei with their masses in the ratio of 2:1. After disintegration they...
JEE Main
Physics
Easy
View Solution
→
Q
JEE Main 2024
2024
Let y=y(x) be the solution of the differential equation $(x+y+2)^2 d x=d y, y(0)=-2$. Let the maximum and minimum values...
JEE Main
Mathematics
Easy
View Solution
→
Q
JEE Main 2024
2024
Consider a line L passing through the points $\mathrm{P}(1,2,1)$ and $\mathrm{Q}(2,1,-1)$. If the mirror image of the point $\mathrm{A}(2,2,2)$ in...
JEE Main
Mathematics
Easy
View Solution
→
Q
JEE Main 2024
2024
Consider a triangle ABC having the vertices $\mathrm{A}(1,2), \mathrm{B}(\alpha, \beta)$ and $\mathrm{C}(\gamma, \delta)$ and angles $\angle \mathrm{ABC}=\frac{\pi}{6}$ and $...
JEE Main
Mathematics
Easy
View Solution
→
Q
JEE Main 2024
2024
In a tournament, a team plays 10 matches with probabilities of winning and losing each match as $\frac{1}{3}$ and $\frac{2}{3}$...
JEE Main
Mathematics
Easy
View Solution
→
Q
JEE Main 2024
2024
There are 4 men and 5 women in Group A, and 5 men and 4 women in Group B. If...
JEE Main
Mathematics
Easy
View Solution
→
Q
JEE Main 2024
2024
Let 𝐴 be a 2 × 2 symmetric matrix such that $A\left[\begin{array}{l}1 \\ 1\end{array}\right]=\left[\begin{array}{l}3 \\ 7\end{array}\right]$ and the determinant of...
JEE Main
Mathematics
Easy
View Solution
→
Q
JEE Main 2024
2024
Consider the function $\mathrm{f}: \mathbb{R} \rightarrow \mathbb{R}$ defined by $f(x)=\frac{2 x}{\sqrt{1+9 x^2}}$. If the composition of $...
JEE Main
Mathematics
Easy
View Solution
→
Load More Questions
Check this project
|
Best Developer Portfolio
Scan the code
Powered by
Joinchat
Hello 👋 Welcome to Competishun – India’s most trusted platform for JEE & NEET preparation.
Need help with JEE / NEET courses, fees, batches, test series or free study material? Chat with us now 👇
Open Chat