Skip to content
Competishun Header
Home
Courses
Test Series
Books
Free Resources
Result
Contact Us
Free Resources
Courses
Test Series
JEE Solutions
NCERT PDF
Books
Gallery
Result
Blogs
Watch JEE Free Lectures
↗
Download Our App
↗
Follow Us
Login / Register
Back
Report
Report Issue
×
Wrong Answer
Typo Error
Image Issue
Not Clear
Other
JEE MAIN
01-02-2023 S1
Question
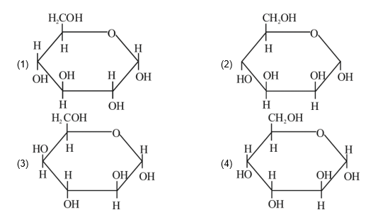
The correct representation in six membered pyranose form for the following sugar [X] is
Options
A
B
C
D
✓ Correct! Well done.
✗ Incorrect. Try again or view the solution.
View Solution
Solution
By Haworth structure of mannose
Question Tags
JEE Main
Chemistry
Medium
Start Preparing for JEE with Competishun
YouTube
Books
App
Tests
Filters
0
Subject
▾
Exam
▾
JEE Main
JEE Advance
Difficulty
▾
Easy
Medium
Hard
Year
▾
✕ Clear All
Showing
18
questions
Q
JEE MAIN_2026
Angular momentum of an electron in a hydrogen atom is $\frac{3 h}{\pi}$, then the energy of the electron is $\_\_\_\_$...
JEE Main
Physics
Easy
View Solution
→
Q
JEE MAIN_2026
An electromagnetic wave travelling in $x$-direction is described by field equation $\mathrm{E}_y=300 \sin \omega\left(t-\frac{x}{\mathrm{c}}\right)$. If the electron is restricted to...
JEE Main
Physics
Medium
View Solution
→
Q
JEE MAIN_2026
For a certain metal, when monochromatic light of wavelength $\lambda$ is incident, the stopping potential for photoelectrons is $3 \mathrm{~V}_0$....
JEE Main
Physics
Medium
View Solution
→
Q
JEE Main 2026
2026
Which of the following sets includes all the species that will change the orange colour of $\mathrm{K}_2 \mathrm{Cr}_2 \mathrm{O}_7$ in...
JEE Main
Chemistry
Easy
View Solution
→
Q
JEE MAIN 2026
2026
Two identical long current carrying wires are bent into the shapes shown in the following figures. If the magnitude of...
JEE Main
Physics
Easy
View Solution
→
Q
JEE Main 2026
2026
Given below are two statements: Statement (I): Oxidising power of halogens decreases in the order $\mathrm{F}_2>\mathrm{Cl}_2>\mathrm{Br}_2>\mathrm{I}_2$, which is the basis...
JEE Main
Chemistry
Medium
View Solution
→
Q
JEE MAIN_2026
When a coil is placed in a time dependent magnetic field the power dissipated in it is $P$. The number...
JEE Main
Physics
Hard
View Solution
→
Q
JEE Main 2026
2026
Given below are two statements: Statement (I): The first ionisation enthalpy of the elements $\mathrm{Na}, \mathrm{Mg}, \mathrm{Cl}$ and Ar follows...
JEE Main
Chemistry
Easy
View Solution
→
Q
JEE MAIN_2026
For the given circuit (shown in part (A)) the time dependent input voltage vin (t) and corresponding output v0(t) are...
JEE Main
Physics
Easy
View Solution
→
Q
JEE Main 2026
2026
$t_{100 \%}$ is the time required for the $100 \%$ completion of the reaction while $t_{1 / 2}$ is the...
JEE Main
Chemistry
Easy
View Solution
→
Q
JEE Main 2026
2026
An electrochemical cell is constructed using half cells in the direction of spontaneous change $$ \mathrm{Fe}(\mathrm{OH})_2(\mathrm{~s})+2 \mathrm{e}^{-} \rightarrow \mathrm{Fe}(\mathrm{~s})+2 \mathrm{OH}^{-}(\mathrm{aq})...
JEE Main
Chemistry
Medium
View Solution
→
Q
JEE MAIN_2026
Two short electric dipoles A and B having dipole moment p1 and p2 respectively are placed with their axis mutually...
JEE Main
Physics
Medium
View Solution
→
Q
JEE MAIN 2026
2026
The solubility product constants of $\mathrm{Ag}_2 \mathrm{CrO}_4$ and AgBr are 32 x and 4 y respectively at 298 K ....
JEE Main
Chemistry
Medium
View Solution
→
Q
JEE MAIN_2026
The equation of a plane progressive wave is given by $y=5 \cos \pi\left(200 t-\frac{x}{150}\right)$ where x and y are in...
JEE Main
Physics
Easy
View Solution
→
Q
JEE Main 2026
2026
19.5 g of fluoro acetic acid (molar mass $=78 \mathrm{~g} \mathrm{~mol}^{-1}$ ) is dissolved in 500 g of water at...
JEE Main
Chemistry
Hard
View Solution
→
Q
JEE_MAIN_2026
Two charged conducting spheres S1 and S2 of radii 8 cm and 18 cm are connected to each other by...
JEE Main
Physics
Easy
View Solution
→
Q
JEE MAIN_2026
Heat is supplied to a diatomic gas at constant pressure. Then the ratio of DQ : DU : DW is...
JEE Main
Physics
Easy
View Solution
→
Q
JEE MAIN_2026
A parallel plate air capacitor has a capacitance C. When it is half filled as show in figure with a...
JEE Main
Physics
Easy
View Solution
→
Load More Questions
Check this project
|
Best Developer Portfolio
Scan the code
Powered by
Joinchat
Hello 👋 Welcome to Competishun – India’s most trusted platform for JEE & NEET preparation.
Need help with JEE / NEET courses, fees, batches, test series or free study material? Chat with us now 👇
Open Chat