Skip to content
Competishun Header
Home
Courses
Test Series
Books
Free Resources
Result
Contact Us
Free Resources
Courses
Test Series
JEE Solutions
NCERT PDF
Books
Gallery
Result
Blogs
Watch JEE Free Lectures
↗
Download Our App
↗
Follow Us
Login / Register
Back
Report
Report Issue
×
Wrong Answer
Typo Error
Image Issue
Not Clear
Other
JEE MAIN 2022
26-07-22 S1
Question
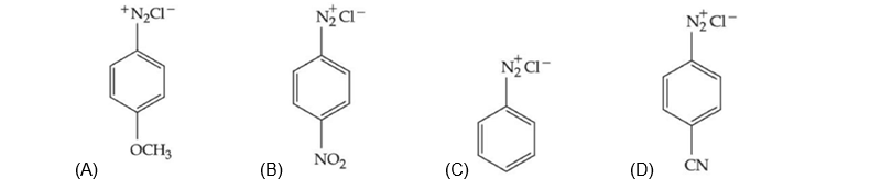
The correct stability order of the following diazonium salt is
Select the correct option:
A
(A) > (B) > (C) > (D)
B
(A) > (C) > (D) > (B)
C
(C) > (A) > (D) > (B)
D
(C) > (D) > (B) > (A)
✓ Correct! Well done.
✗ Incorrect. Try again or view the solution.
View Solution
Solution
Question Tags
JEE Main
Chemistry
Hard
Start Preparing for JEE with Competishun
YouTube
Books
App
Tests
Filters
0
Subject
▾
Exam
▾
JEE Main
JEE Advance
Difficulty
▾
Easy
Medium
Hard
Year
▾
✕ Clear All
Showing
18
questions
Q
JEE Advanced 2020
2020
Let $x, y$ and $z$ be positive real numbers. Suppose $x, y$ and $z$ are lengths of the sides of...
JEE Advance
Mathematics
Easy
View Solution
→
Q
JEE Advanced 2020
2020
Let S be the set of all complex numbers z satisfying $\left|\mathrm{z}^2+\mathrm{z}+1\right|=1$. Then which of the following statements is/are TRUE...
JEE Advance
Mathematics
Easy
View Solution
→
Q
JEE Advanced 2020
2020
Let M be a 3 X 3 invertible matrix with real entries and let I denote the $3 \times 3$...
JEE Advance
Mathematics
Easy
View Solution
→
Q
JEE Advanced 2020
2020
Let the function $f: R \rightarrow R$ be defined by $f(x)=x^3-x^2+(x-1) \sin x$ and let $g: R \rightarrow R$ be...
JEE Advance
Mathematics
Easy
View Solution
→
Q
JEE Advance 2020
2020
In an X-ray tube, electrons emitted from a filament (cathode) carrying current I hit a target (anode) at a distance...
JEE Advance
Physics
Easy
View Solution
→
Q
JEE Advance 2020
2020
A rod of mass $m$ and length $L$, pivoted at one of its ends, is hanging vertically. A bullet of...
JEE Advance
Physics
Easy
View Solution
→
Q
JEE Advanced 2020
2020
Consider all rectangles lying in the region $...
JEE Advance
Mathematics
Easy
View Solution
→
Q
JEE Advanced 2020
2020
Let C1 and C2 be two biased coins such that the probabilities of getting head in a single toss are...
JEE Advance
Mathematics
Easy
View Solution
→
Q
JEE Advance 2020
2020
A student skates up a ramp that makes an angle $30^{\circ}$ with the horizontal. $\mathrm{He} /$ she starts (as shown...
JEE Advance
Physics
Easy
View Solution
→
Q
JEE Advance 2020
2020
A beaker of radius $r$ is filled with water (refractive index $\frac{4}{3}$ ) up to a height $H$ as shown...
JEE Advance
Physics
Easy
View Solution
→
Q
JEE Advance 2020
2020
A thermally isolated cylindrical closed vessel of height 8 m is kept vertically. It is divided into two equal parts...
JEE Advance
Physics
Easy
View Solution
→
Q
JEE Advance 2020
2020
A point charge q of mass m is suspended vertically by a string of length $l$. A point dipole of...
JEE Advance
Physics
Easy
View Solution
→
Q
JEE Advanced 2020
2020
Let $\mathrm{a}, \mathrm{b}$ and $\lambda$ be positive real numbers. Suppose P is an end point of the latus rectum of...
JEE Advance
Mathematics
Easy
View Solution
→
Q
JEE Advanced 2020
2020
Let the functions $f: \mathrm{R} \rightarrow \mathrm{R}$ and $\mathrm{g}: \mathrm{R} \rightarrow \mathrm{R}$ be defined by $...
JEE Advance
Mathematics
Easy
View Solution
→
Q
JEE Advance 2020
2020
A hot air balloon is carrying some passengers, and a few sandbags of mass 1 kg each so that its...
JEE Advance
Physics
Easy
View Solution
→
Q
JEE Advance 2020
2020
Two large circular discs separated by a distance of 0.01 m are connected to a battery via a switch as...
JEE Advance
Physics
Easy
View Solution
→
Q
JEE Advanced 2020
2020
If the function $f: \mathrm{R} \rightarrow \mathrm{R}$ is defined by $\mathrm{f}(\mathrm{x})=|\mathrm{x}|(\mathrm{x}-\sin \mathrm{x})$, then which of the following statements is TRUE?
JEE Advance
Mathematics
Easy
View Solution
→
Q
JEE Advance 2020
2020
A train with cross-sectional area $\mathrm{S}_{\mathrm{t}}$ is moving with speed $v_t$ inside a long tunnel of cross-sectional area $\mathrm{S}_0\left(\mathrm{~S}_0=4 \mathrm{~S}_{\mathrm{t}}\right)$....
JEE Advance
Physics
Easy
View Solution
→
Load More Questions
Scan the code
Powered by
Joinchat
Hello 👋 Welcome to Competishun – India’s most trusted platform for JEE & NEET preparation.
Need help with JEE / NEET courses, fees, batches, test series or free study material? Chat with us now 👇
Open Chat